Τι είναι οι εξετάσεις της PISA; Πρόκειται για εξετάσεις στις οποίες
συμμετέχουν αγόρια (BOY) και κορίτσια (GIRL),
μαθητές της ΣΤ’ Δημοτικού και της Γ’ Γυμνασίου από διάφορες χώρες. Τα
αντικείμενα εξέτασης είναι τα Μαθηματικά (MATH), η
Κατανόηση Κειμένου (READING) και οι Φυσικές Επιστήμες
(SCIENCE).
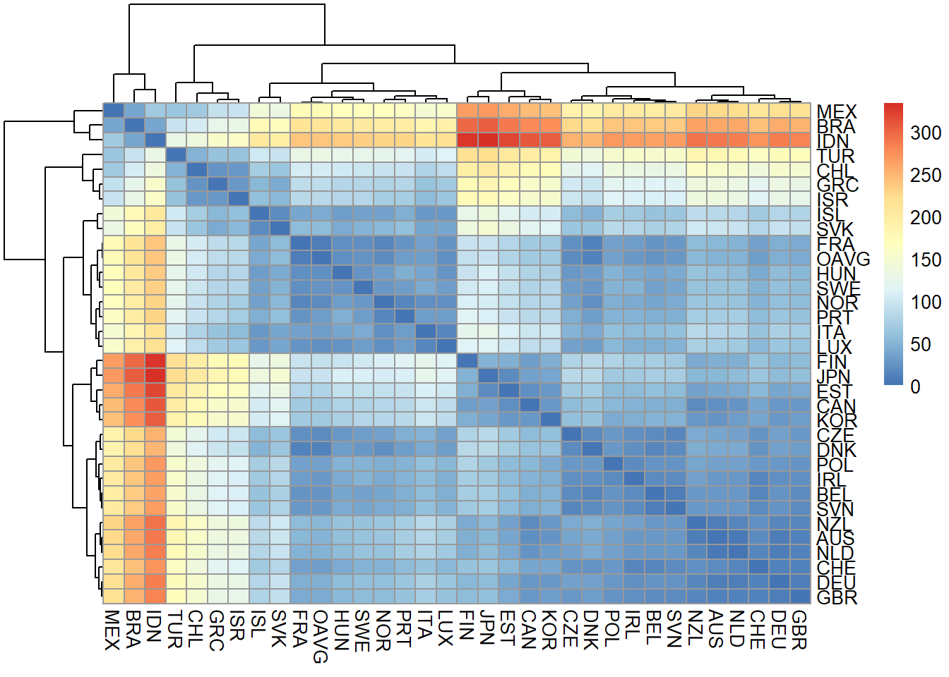
Στο παρόν άρθρο θα προσπαθήσουμε να βγάλουμε κάποια συμπεράσματα από τα αποτελέσματα του διαγωνισμού PISA. Θα εξετάσουμε τις διαφορές μεταξύ των χωρών, τις διαφορές μεταξύ των δύο φύλων και τις διαφορές μεταξύ των εξεταζόμενων αντικειμένων. Τα δεδομένα αντλήθηκαν από τον OECD και αποθηκεύτηκαν στα αρχεία mathPISA.csv, readingPISA.csv και sciencePISA.csv, τα οποία παρατίθενται κάτωθεν.
| LOCATION | INDICATOR | SUBJECT | MEASURE | FREQUENCY | TIME | Value | Flag.Codes |
|---|---|---|---|---|---|---|---|
| AUS | PISAMATH | BOY | MEANSCORE | A | 2003 | 527.000 | NA |
| AUS | PISAMATH | BOY | MEANSCORE | A | 2006 | 527.000 | NA |
| AUS | PISAMATH | BOY | MEANSCORE | A | 2009 | 519.000 | NA |
| AUS | PISAMATH | BOY | MEANSCORE | A | 2012 | 510.115 | NA |
| AUS | PISAMATH | BOY | MEANSCORE | A | 2015 | 497.000 | NA |
| AUS | PISAMATH | BOY | MEANSCORE | A | 2018 | 494.000 | NA |
| AUS | PISAMATH | GIRL | MEANSCORE | A | 2003 | 522.000 | NA |
| AUS | PISAMATH | GIRL | MEANSCORE | A | 2006 | 513.000 | NA |
| AUS | PISAMATH | GIRL | MEANSCORE | A | 2009 | 509.000 | NA |
| AUS | PISAMATH | GIRL | MEANSCORE | A | 2012 | 497.821 | NA |
| AUS | PISAMATH | GIRL | MEANSCORE | A | 2015 | 491.000 | NA |
| AUS | PISAMATH | GIRL | MEANSCORE | A | 2018 | 488.000 | NA |
| AUT | PISAMATH | BOY | MEANSCORE | A | 2003 | 509.000 | NA |
| AUT | PISAMATH | BOY | MEANSCORE | A | 2006 | 517.000 | NA |
| AUT | PISAMATH | BOY | MEANSCORE | A | 2012 | 516.682 | NA |
| AUT | PISAMATH | BOY | MEANSCORE | A | 2015 | 510.000 | NA |
| AUT | PISAMATH | BOY | MEANSCORE | A | 2018 | 505.000 | NA |
| AUT | PISAMATH | GIRL | MEANSCORE | A | 2003 | 502.000 | NA |
| AUT | PISAMATH | GIRL | MEANSCORE | A | 2006 | 494.000 | NA |
| AUT | PISAMATH | GIRL | MEANSCORE | A | 2012 | 494.462 | NA |
| AUT | PISAMATH | GIRL | MEANSCORE | A | 2015 | 483.000 | NA |
| AUT | PISAMATH | GIRL | MEANSCORE | A | 2018 | 492.000 | NA |
| BEL | PISAMATH | BOY | MEANSCORE | A | 2003 | 533.000 | NA |
| BEL | PISAMATH | BOY | MEANSCORE | A | 2006 | 524.000 | NA |
| BEL | PISAMATH | BOY | MEANSCORE | A | 2009 | 526.000 | NA |
| BEL | PISAMATH | BOY | MEANSCORE | A | 2012 | 520.081 | NA |
| BEL | PISAMATH | BOY | MEANSCORE | A | 2015 | 514.000 | NA |
| BEL | PISAMATH | BOY | MEANSCORE | A | 2018 | 514.000 | NA |
| BEL | PISAMATH | GIRL | MEANSCORE | A | 2003 | 525.000 | NA |
| BEL | PISAMATH | GIRL | MEANSCORE | A | 2006 | 517.000 | NA |
| BEL | PISAMATH | GIRL | MEANSCORE | A | 2009 | 504.000 | NA |
| BEL | PISAMATH | GIRL | MEANSCORE | A | 2012 | 508.935 | NA |
| BEL | PISAMATH | GIRL | MEANSCORE | A | 2015 | 500.000 | NA |
| BEL | PISAMATH | GIRL | MEANSCORE | A | 2018 | 502.000 | NA |
| CAN | PISAMATH | BOY | MEANSCORE | A | 2003 | 541.000 | NA |
| CAN | PISAMATH | BOY | MEANSCORE | A | 2006 | 534.000 | NA |
| CAN | PISAMATH | BOY | MEANSCORE | A | 2009 | 533.000 | NA |
| CAN | PISAMATH | BOY | MEANSCORE | A | 2012 | 523.154 | NA |
| CAN | PISAMATH | BOY | MEANSCORE | A | 2015 | 520.000 | NA |
| CAN | PISAMATH | BOY | MEANSCORE | A | 2018 | 514.000 | NA |
| CAN | PISAMATH | GIRL | MEANSCORE | A | 2003 | 530.000 | NA |
| CAN | PISAMATH | GIRL | MEANSCORE | A | 2006 | 520.000 | NA |
| CAN | PISAMATH | GIRL | MEANSCORE | A | 2009 | 521.000 | NA |
| CAN | PISAMATH | GIRL | MEANSCORE | A | 2012 | 513.022 | NA |
| CAN | PISAMATH | GIRL | MEANSCORE | A | 2015 | 511.000 | NA |
| CAN | PISAMATH | GIRL | MEANSCORE | A | 2018 | 510.000 | NA |
| CZE | PISAMATH | BOY | MEANSCORE | A | 2003 | 524.000 | NA |
| CZE | PISAMATH | BOY | MEANSCORE | A | 2006 | 514.000 | NA |
| CZE | PISAMATH | BOY | MEANSCORE | A | 2009 | 495.000 | NA |
| CZE | PISAMATH | BOY | MEANSCORE | A | 2012 | 504.710 | NA |
| CZE | PISAMATH | BOY | MEANSCORE | A | 2015 | 496.000 | NA |
| CZE | PISAMATH | BOY | MEANSCORE | A | 2018 | 501.000 | NA |
| CZE | PISAMATH | GIRL | MEANSCORE | A | 2003 | 509.000 | NA |
| CZE | PISAMATH | GIRL | MEANSCORE | A | 2006 | 504.000 | NA |
| CZE | PISAMATH | GIRL | MEANSCORE | A | 2009 | 490.000 | NA |
| CZE | PISAMATH | GIRL | MEANSCORE | A | 2012 | 492.903 | NA |
| CZE | PISAMATH | GIRL | MEANSCORE | A | 2015 | 489.000 | NA |
| CZE | PISAMATH | GIRL | MEANSCORE | A | 2018 | 498.000 | NA |
| DNK | PISAMATH | BOY | MEANSCORE | A | 2003 | 523.000 | NA |
| DNK | PISAMATH | BOY | MEANSCORE | A | 2006 | 518.000 | NA |
| DNK | PISAMATH | BOY | MEANSCORE | A | 2009 | 511.000 | NA |
| DNK | PISAMATH | BOY | MEANSCORE | A | 2012 | 506.953 | NA |
| DNK | PISAMATH | BOY | MEANSCORE | A | 2015 | 516.000 | NA |
| DNK | PISAMATH | BOY | MEANSCORE | A | 2018 | 511.000 | NA |
| DNK | PISAMATH | GIRL | MEANSCORE | A | 2003 | 506.000 | NA |
| DNK | PISAMATH | GIRL | MEANSCORE | A | 2006 | 508.000 | NA |
| DNK | PISAMATH | GIRL | MEANSCORE | A | 2009 | 495.000 | NA |
| DNK | PISAMATH | GIRL | MEANSCORE | A | 2012 | 493.029 | NA |
| DNK | PISAMATH | GIRL | MEANSCORE | A | 2015 | 506.000 | NA |
| DNK | PISAMATH | GIRL | MEANSCORE | A | 2018 | 507.000 | NA |
| FIN | PISAMATH | BOY | MEANSCORE | A | 2003 | 548.000 | NA |
| FIN | PISAMATH | BOY | MEANSCORE | A | 2006 | 554.000 | NA |
| FIN | PISAMATH | BOY | MEANSCORE | A | 2009 | 542.000 | NA |
| FIN | PISAMATH | BOY | MEANSCORE | A | 2012 | 517.391 | NA |
| FIN | PISAMATH | BOY | MEANSCORE | A | 2015 | 507.000 | NA |
| FIN | PISAMATH | BOY | MEANSCORE | A | 2018 | 504.000 | NA |
| FIN | PISAMATH | GIRL | MEANSCORE | A | 2003 | 541.000 | NA |
| FIN | PISAMATH | GIRL | MEANSCORE | A | 2006 | 543.000 | NA |
| FIN | PISAMATH | GIRL | MEANSCORE | A | 2009 | 539.000 | NA |
| FIN | PISAMATH | GIRL | MEANSCORE | A | 2012 | 520.185 | NA |
| FIN | PISAMATH | GIRL | MEANSCORE | A | 2015 | 515.000 | NA |
| FIN | PISAMATH | GIRL | MEANSCORE | A | 2018 | 510.000 | NA |
| FRA | PISAMATH | BOY | MEANSCORE | A | 2003 | 515.000 | NA |
| FRA | PISAMATH | BOY | MEANSCORE | A | 2006 | 499.000 | NA |
| FRA | PISAMATH | BOY | MEANSCORE | A | 2009 | 505.000 | NA |
| FRA | PISAMATH | BOY | MEANSCORE | A | 2012 | 499.355 | NA |
| FRA | PISAMATH | BOY | MEANSCORE | A | 2015 | 496.000 | NA |
| FRA | PISAMATH | BOY | MEANSCORE | A | 2018 | 499.000 | NA |
| FRA | PISAMATH | GIRL | MEANSCORE | A | 2003 | 507.000 | NA |
| FRA | PISAMATH | GIRL | MEANSCORE | A | 2006 | 492.000 | NA |
| FRA | PISAMATH | GIRL | MEANSCORE | A | 2009 | 489.000 | NA |
| FRA | PISAMATH | GIRL | MEANSCORE | A | 2012 | 490.853 | NA |
| FRA | PISAMATH | GIRL | MEANSCORE | A | 2015 | 490.000 | NA |
| FRA | PISAMATH | GIRL | MEANSCORE | A | 2018 | 492.000 | NA |
| DEU | PISAMATH | BOY | MEANSCORE | A | 2003 | 508.000 | NA |
| DEU | PISAMATH | BOY | MEANSCORE | A | 2006 | 513.000 | NA |
| DEU | PISAMATH | BOY | MEANSCORE | A | 2009 | 520.000 | NA |
| DEU | PISAMATH | BOY | MEANSCORE | A | 2012 | 520.190 | NA |
| DEU | PISAMATH | BOY | MEANSCORE | A | 2015 | 514.000 | NA |
| DEU | PISAMATH | BOY | MEANSCORE | A | 2018 | 503.000 | NA |
| DEU | PISAMATH | GIRL | MEANSCORE | A | 2003 | 499.000 | NA |
| DEU | PISAMATH | GIRL | MEANSCORE | A | 2006 | 494.000 | NA |
| DEU | PISAMATH | GIRL | MEANSCORE | A | 2009 | 505.000 | NA |
| DEU | PISAMATH | GIRL | MEANSCORE | A | 2012 | 506.625 | NA |
| DEU | PISAMATH | GIRL | MEANSCORE | A | 2015 | 498.000 | NA |
| DEU | PISAMATH | GIRL | MEANSCORE | A | 2018 | 496.000 | NA |
| GRC | PISAMATH | BOY | MEANSCORE | A | 2003 | 455.000 | NA |
| GRC | PISAMATH | BOY | MEANSCORE | A | 2006 | 462.000 | NA |
| GRC | PISAMATH | BOY | MEANSCORE | A | 2009 | 473.000 | NA |
| GRC | PISAMATH | BOY | MEANSCORE | A | 2012 | 457.039 | NA |
| GRC | PISAMATH | BOY | MEANSCORE | A | 2015 | 454.000 | NA |
| GRC | PISAMATH | BOY | MEANSCORE | A | 2018 | 452.000 | NA |
| GRC | PISAMATH | GIRL | MEANSCORE | A | 2003 | 436.000 | NA |
| GRC | PISAMATH | GIRL | MEANSCORE | A | 2006 | 457.000 | NA |
| GRC | PISAMATH | GIRL | MEANSCORE | A | 2009 | 459.000 | NA |
| GRC | PISAMATH | GIRL | MEANSCORE | A | 2012 | 448.984 | NA |
| GRC | PISAMATH | GIRL | MEANSCORE | A | 2015 | 454.000 | NA |
| GRC | PISAMATH | GIRL | MEANSCORE | A | 2018 | 451.000 | NA |
| HUN | PISAMATH | BOY | MEANSCORE | A | 2003 | 494.000 | NA |
| HUN | PISAMATH | BOY | MEANSCORE | A | 2006 | 496.000 | NA |
| HUN | PISAMATH | BOY | MEANSCORE | A | 2009 | 496.000 | NA |
| HUN | PISAMATH | BOY | MEANSCORE | A | 2012 | 481.749 | NA |
| HUN | PISAMATH | BOY | MEANSCORE | A | 2015 | 481.000 | NA |
| HUN | PISAMATH | BOY | MEANSCORE | A | 2018 | 486.000 | NA |
| HUN | PISAMATH | GIRL | MEANSCORE | A | 2003 | 486.000 | NA |
| HUN | PISAMATH | GIRL | MEANSCORE | A | 2006 | 486.000 | NA |
| HUN | PISAMATH | GIRL | MEANSCORE | A | 2009 | 484.000 | NA |
| HUN | PISAMATH | GIRL | MEANSCORE | A | 2012 | 472.664 | NA |
| HUN | PISAMATH | GIRL | MEANSCORE | A | 2015 | 473.000 | NA |
| HUN | PISAMATH | GIRL | MEANSCORE | A | 2018 | 477.000 | NA |
| ISL | PISAMATH | BOY | MEANSCORE | A | 2003 | 508.000 | NA |
| ISL | PISAMATH | BOY | MEANSCORE | A | 2006 | 503.000 | NA |
| ISL | PISAMATH | BOY | MEANSCORE | A | 2009 | 508.000 | NA |
| ISL | PISAMATH | BOY | MEANSCORE | A | 2012 | 489.720 | NA |
| ISL | PISAMATH | BOY | MEANSCORE | A | 2015 | 487.000 | NA |
| ISL | PISAMATH | BOY | MEANSCORE | A | 2018 | 490.000 | NA |
| ISL | PISAMATH | GIRL | MEANSCORE | A | 2003 | 523.000 | NA |
| ISL | PISAMATH | GIRL | MEANSCORE | A | 2006 | 508.000 | NA |
| ISL | PISAMATH | GIRL | MEANSCORE | A | 2009 | 505.000 | NA |
| ISL | PISAMATH | GIRL | MEANSCORE | A | 2012 | 495.947 | NA |
| ISL | PISAMATH | GIRL | MEANSCORE | A | 2015 | 489.000 | NA |
| ISL | PISAMATH | GIRL | MEANSCORE | A | 2018 | 500.000 | NA |
| IRL | PISAMATH | BOY | MEANSCORE | A | 2003 | 510.000 | NA |
| IRL | PISAMATH | BOY | MEANSCORE | A | 2006 | 507.000 | NA |
| IRL | PISAMATH | BOY | MEANSCORE | A | 2009 | 491.000 | NA |
| IRL | PISAMATH | BOY | MEANSCORE | A | 2012 | 509.035 | NA |
| IRL | PISAMATH | BOY | MEANSCORE | A | 2015 | 512.000 | NA |
| IRL | PISAMATH | BOY | MEANSCORE | A | 2018 | 503.000 | NA |
| IRL | PISAMATH | GIRL | MEANSCORE | A | 2003 | 495.000 | NA |
| IRL | PISAMATH | GIRL | MEANSCORE | A | 2006 | 496.000 | NA |
| IRL | PISAMATH | GIRL | MEANSCORE | A | 2009 | 483.000 | NA |
| IRL | PISAMATH | GIRL | MEANSCORE | A | 2012 | 493.705 | NA |
| IRL | PISAMATH | GIRL | MEANSCORE | A | 2015 | 495.000 | NA |
| IRL | PISAMATH | GIRL | MEANSCORE | A | 2018 | 497.000 | NA |
| ITA | PISAMATH | BOY | MEANSCORE | A | 2003 | 475.000 | NA |
| ITA | PISAMATH | BOY | MEANSCORE | A | 2006 | 470.000 | NA |
| ITA | PISAMATH | BOY | MEANSCORE | A | 2009 | 490.000 | NA |
| ITA | PISAMATH | BOY | MEANSCORE | A | 2012 | 494.199 | NA |
| ITA | PISAMATH | BOY | MEANSCORE | A | 2015 | 500.000 | NA |
| ITA | PISAMATH | BOY | MEANSCORE | A | 2018 | 494.000 | NA |
| ITA | PISAMATH | GIRL | MEANSCORE | A | 2003 | 457.000 | NA |
| ITA | PISAMATH | GIRL | MEANSCORE | A | 2006 | 453.000 | NA |
| ITA | PISAMATH | GIRL | MEANSCORE | A | 2009 | 475.000 | NA |
| ITA | PISAMATH | GIRL | MEANSCORE | A | 2012 | 475.794 | NA |
| ITA | PISAMATH | GIRL | MEANSCORE | A | 2015 | 480.000 | NA |
| ITA | PISAMATH | GIRL | MEANSCORE | A | 2018 | 479.000 | NA |
| JPN | PISAMATH | BOY | MEANSCORE | A | 2003 | 539.000 | NA |
| JPN | PISAMATH | BOY | MEANSCORE | A | 2006 | 533.000 | NA |
| JPN | PISAMATH | BOY | MEANSCORE | A | 2009 | 534.000 | NA |
| JPN | PISAMATH | BOY | MEANSCORE | A | 2012 | 544.884 | NA |
| JPN | PISAMATH | BOY | MEANSCORE | A | 2015 | 539.000 | NA |
| JPN | PISAMATH | BOY | MEANSCORE | A | 2018 | 532.000 | NA |
| JPN | PISAMATH | GIRL | MEANSCORE | A | 2003 | 530.000 | NA |
| JPN | PISAMATH | GIRL | MEANSCORE | A | 2006 | 513.000 | NA |
| JPN | PISAMATH | GIRL | MEANSCORE | A | 2009 | 524.000 | NA |
| JPN | PISAMATH | GIRL | MEANSCORE | A | 2012 | 527.011 | NA |
| JPN | PISAMATH | GIRL | MEANSCORE | A | 2015 | 525.000 | NA |
| JPN | PISAMATH | GIRL | MEANSCORE | A | 2018 | 522.000 | NA |
| KOR | PISAMATH | BOY | MEANSCORE | A | 2003 | 552.000 | NA |
| KOR | PISAMATH | BOY | MEANSCORE | A | 2006 | 552.000 | NA |
| KOR | PISAMATH | BOY | MEANSCORE | A | 2009 | 548.000 | NA |
| KOR | PISAMATH | BOY | MEANSCORE | A | 2012 | 562.114 | NA |
| KOR | PISAMATH | BOY | MEANSCORE | A | 2015 | 521.000 | NA |
| KOR | PISAMATH | BOY | MEANSCORE | A | 2018 | 528.000 | NA |
| KOR | PISAMATH | GIRL | MEANSCORE | A | 2003 | 528.000 | NA |
| KOR | PISAMATH | GIRL | MEANSCORE | A | 2006 | 543.000 | NA |
| KOR | PISAMATH | GIRL | MEANSCORE | A | 2009 | 544.000 | NA |
| KOR | PISAMATH | GIRL | MEANSCORE | A | 2012 | 544.193 | NA |
| KOR | PISAMATH | GIRL | MEANSCORE | A | 2015 | 528.000 | NA |
| KOR | PISAMATH | GIRL | MEANSCORE | A | 2018 | 524.000 | NA |
| LUX | PISAMATH | BOY | MEANSCORE | A | 2003 | 502.000 | NA |
| LUX | PISAMATH | BOY | MEANSCORE | A | 2006 | 498.000 | NA |
| LUX | PISAMATH | BOY | MEANSCORE | A | 2009 | 499.000 | NA |
| LUX | PISAMATH | BOY | MEANSCORE | A | 2012 | 502.193 | NA |
| LUX | PISAMATH | BOY | MEANSCORE | A | 2015 | 491.000 | NA |
| LUX | PISAMATH | BOY | MEANSCORE | A | 2018 | 487.000 | NA |
| LUX | PISAMATH | GIRL | MEANSCORE | A | 2003 | 485.000 | NA |
| LUX | PISAMATH | GIRL | MEANSCORE | A | 2006 | 482.000 | NA |
| LUX | PISAMATH | GIRL | MEANSCORE | A | 2009 | 479.000 | NA |
| LUX | PISAMATH | GIRL | MEANSCORE | A | 2012 | 477.117 | NA |
| LUX | PISAMATH | GIRL | MEANSCORE | A | 2015 | 480.000 | NA |
| LUX | PISAMATH | GIRL | MEANSCORE | A | 2018 | 480.000 | NA |
| MEX | PISAMATH | BOY | MEANSCORE | A | 2003 | 391.000 | NA |
| MEX | PISAMATH | BOY | MEANSCORE | A | 2006 | 410.000 | NA |
| MEX | PISAMATH | BOY | MEANSCORE | A | 2009 | 425.000 | NA |
| MEX | PISAMATH | BOY | MEANSCORE | A | 2012 | 420.411 | NA |
| MEX | PISAMATH | BOY | MEANSCORE | A | 2015 | 412.000 | NA |
| MEX | PISAMATH | BOY | MEANSCORE | A | 2018 | 415.000 | NA |
| MEX | PISAMATH | GIRL | MEANSCORE | A | 2003 | 380.000 | NA |
| MEX | PISAMATH | GIRL | MEANSCORE | A | 2006 | 401.000 | NA |
| MEX | PISAMATH | GIRL | MEANSCORE | A | 2009 | 412.000 | NA |
| MEX | PISAMATH | GIRL | MEANSCORE | A | 2012 | 406.427 | NA |
| MEX | PISAMATH | GIRL | MEANSCORE | A | 2015 | 404.000 | NA |
| MEX | PISAMATH | GIRL | MEANSCORE | A | 2018 | 403.000 | NA |
| NLD | PISAMATH | BOY | MEANSCORE | A | 2003 | 540.000 | NA |
| NLD | PISAMATH | BOY | MEANSCORE | A | 2006 | 537.000 | NA |
| NLD | PISAMATH | BOY | MEANSCORE | A | 2009 | 534.000 | NA |
| NLD | PISAMATH | BOY | MEANSCORE | A | 2012 | 527.967 | NA |
| NLD | PISAMATH | BOY | MEANSCORE | A | 2015 | 513.000 | NA |
| NLD | PISAMATH | BOY | MEANSCORE | A | 2018 | 520.000 | NA |
| NLD | PISAMATH | GIRL | MEANSCORE | A | 2003 | 535.000 | NA |
| NLD | PISAMATH | GIRL | MEANSCORE | A | 2006 | 524.000 | NA |
| NLD | PISAMATH | GIRL | MEANSCORE | A | 2009 | 517.000 | NA |
| NLD | PISAMATH | GIRL | MEANSCORE | A | 2012 | 517.738 | NA |
| NLD | PISAMATH | GIRL | MEANSCORE | A | 2015 | 511.000 | NA |
| NLD | PISAMATH | GIRL | MEANSCORE | A | 2018 | 519.000 | NA |
| NZL | PISAMATH | BOY | MEANSCORE | A | 2003 | 531.000 | NA |
| NZL | PISAMATH | BOY | MEANSCORE | A | 2006 | 527.000 | NA |
| NZL | PISAMATH | BOY | MEANSCORE | A | 2009 | 523.000 | NA |
| NZL | PISAMATH | BOY | MEANSCORE | A | 2012 | 507.112 | NA |
| NZL | PISAMATH | BOY | MEANSCORE | A | 2015 | 499.000 | NA |
| NZL | PISAMATH | BOY | MEANSCORE | A | 2018 | 499.000 | NA |
| NZL | PISAMATH | GIRL | MEANSCORE | A | 2003 | 516.000 | NA |
| NZL | PISAMATH | GIRL | MEANSCORE | A | 2006 | 517.000 | NA |
| NZL | PISAMATH | GIRL | MEANSCORE | A | 2009 | 515.000 | NA |
| NZL | PISAMATH | GIRL | MEANSCORE | A | 2012 | 492.057 | NA |
| NZL | PISAMATH | GIRL | MEANSCORE | A | 2015 | 491.000 | NA |
| NZL | PISAMATH | GIRL | MEANSCORE | A | 2018 | 490.000 | NA |
| NOR | PISAMATH | BOY | MEANSCORE | A | 2003 | 498.000 | NA |
| NOR | PISAMATH | BOY | MEANSCORE | A | 2006 | 493.000 | NA |
| NOR | PISAMATH | BOY | MEANSCORE | A | 2009 | 500.000 | NA |
| NOR | PISAMATH | BOY | MEANSCORE | A | 2012 | 490.399 | NA |
| NOR | PISAMATH | BOY | MEANSCORE | A | 2015 | 501.000 | NA |
| NOR | PISAMATH | BOY | MEANSCORE | A | 2018 | 497.000 | NA |
| NOR | PISAMATH | GIRL | MEANSCORE | A | 2003 | 492.000 | NA |
| NOR | PISAMATH | GIRL | MEANSCORE | A | 2006 | 487.000 | NA |
| NOR | PISAMATH | GIRL | MEANSCORE | A | 2009 | 495.000 | NA |
| NOR | PISAMATH | GIRL | MEANSCORE | A | 2012 | 488.293 | NA |
| NOR | PISAMATH | GIRL | MEANSCORE | A | 2015 | 503.000 | NA |
| NOR | PISAMATH | GIRL | MEANSCORE | A | 2018 | 505.000 | NA |
| POL | PISAMATH | BOY | MEANSCORE | A | 2003 | 493.000 | NA |
| POL | PISAMATH | BOY | MEANSCORE | A | 2006 | 500.000 | NA |
| POL | PISAMATH | BOY | MEANSCORE | A | 2009 | 497.000 | NA |
| POL | PISAMATH | BOY | MEANSCORE | A | 2012 | 519.564 | NA |
| POL | PISAMATH | BOY | MEANSCORE | A | 2015 | 510.000 | NA |
| POL | PISAMATH | BOY | MEANSCORE | A | 2018 | 516.000 | NA |
| POL | PISAMATH | GIRL | MEANSCORE | A | 2003 | 487.000 | NA |
| POL | PISAMATH | GIRL | MEANSCORE | A | 2006 | 491.000 | NA |
| POL | PISAMATH | GIRL | MEANSCORE | A | 2009 | 493.000 | NA |
| POL | PISAMATH | GIRL | MEANSCORE | A | 2012 | 515.533 | NA |
| POL | PISAMATH | GIRL | MEANSCORE | A | 2015 | 499.000 | NA |
| POL | PISAMATH | GIRL | MEANSCORE | A | 2018 | 515.000 | NA |
| PRT | PISAMATH | BOY | MEANSCORE | A | 2003 | 472.000 | NA |
| PRT | PISAMATH | BOY | MEANSCORE | A | 2006 | 474.000 | NA |
| PRT | PISAMATH | BOY | MEANSCORE | A | 2009 | 493.000 | NA |
| PRT | PISAMATH | BOY | MEANSCORE | A | 2012 | 492.703 | NA |
| PRT | PISAMATH | BOY | MEANSCORE | A | 2015 | 497.000 | NA |
| PRT | PISAMATH | BOY | MEANSCORE | A | 2018 | 497.000 | NA |
| PRT | PISAMATH | GIRL | MEANSCORE | A | 2003 | 460.000 | NA |
| PRT | PISAMATH | GIRL | MEANSCORE | A | 2006 | 459.000 | NA |
| PRT | PISAMATH | GIRL | MEANSCORE | A | 2009 | 481.000 | NA |
| PRT | PISAMATH | GIRL | MEANSCORE | A | 2012 | 481.296 | NA |
| PRT | PISAMATH | GIRL | MEANSCORE | A | 2015 | 487.000 | NA |
| PRT | PISAMATH | GIRL | MEANSCORE | A | 2018 | 488.000 | NA |
| SVK | PISAMATH | BOY | MEANSCORE | A | 2003 | 507.000 | NA |
| SVK | PISAMATH | BOY | MEANSCORE | A | 2006 | 499.000 | NA |
| SVK | PISAMATH | BOY | MEANSCORE | A | 2009 | 498.000 | NA |
| SVK | PISAMATH | BOY | MEANSCORE | A | 2012 | 486.134 | NA |
| SVK | PISAMATH | BOY | MEANSCORE | A | 2015 | 478.000 | NA |
| SVK | PISAMATH | BOY | MEANSCORE | A | 2018 | 488.000 | NA |
| SVK | PISAMATH | GIRL | MEANSCORE | A | 2003 | 489.000 | NA |
| SVK | PISAMATH | GIRL | MEANSCORE | A | 2006 | 485.000 | NA |
| SVK | PISAMATH | GIRL | MEANSCORE | A | 2009 | 495.000 | NA |
| SVK | PISAMATH | GIRL | MEANSCORE | A | 2012 | 476.712 | NA |
| SVK | PISAMATH | GIRL | MEANSCORE | A | 2015 | 472.000 | NA |
| SVK | PISAMATH | GIRL | MEANSCORE | A | 2018 | 484.000 | NA |
| ESP | PISAMATH | BOY | MEANSCORE | A | 2003 | 490.000 | NA |
| ESP | PISAMATH | BOY | MEANSCORE | A | 2006 | 484.000 | NA |
| ESP | PISAMATH | BOY | MEANSCORE | A | 2009 | 493.000 | NA |
| ESP | PISAMATH | BOY | MEANSCORE | A | 2012 | 492.422 | NA |
| ESP | PISAMATH | BOY | MEANSCORE | A | 2015 | 494.000 | NA |
| ESP | PISAMATH | BOY | MEANSCORE | A | 2018 | 485.000 | NA |
| ESP | PISAMATH | GIRL | MEANSCORE | A | 2003 | 481.000 | NA |
| ESP | PISAMATH | GIRL | MEANSCORE | A | 2006 | 476.000 | NA |
| ESP | PISAMATH | GIRL | MEANSCORE | A | 2009 | 474.000 | NA |
| ESP | PISAMATH | GIRL | MEANSCORE | A | 2012 | 475.965 | NA |
| ESP | PISAMATH | GIRL | MEANSCORE | A | 2015 | 478.000 | NA |
| ESP | PISAMATH | GIRL | MEANSCORE | A | 2018 | 478.000 | NA |
| SWE | PISAMATH | BOY | MEANSCORE | A | 2003 | 512.000 | NA |
| SWE | PISAMATH | BOY | MEANSCORE | A | 2006 | 505.000 | NA |
| SWE | PISAMATH | BOY | MEANSCORE | A | 2009 | 493.000 | NA |
| SWE | PISAMATH | BOY | MEANSCORE | A | 2012 | 476.916 | NA |
| SWE | PISAMATH | BOY | MEANSCORE | A | 2015 | 493.000 | NA |
| SWE | PISAMATH | BOY | MEANSCORE | A | 2018 | 502.000 | NA |
| SWE | PISAMATH | GIRL | MEANSCORE | A | 2003 | 506.000 | NA |
| SWE | PISAMATH | GIRL | MEANSCORE | A | 2006 | 500.000 | NA |
| SWE | PISAMATH | GIRL | MEANSCORE | A | 2009 | 495.000 | NA |
| SWE | PISAMATH | GIRL | MEANSCORE | A | 2012 | 479.629 | NA |
| SWE | PISAMATH | GIRL | MEANSCORE | A | 2015 | 495.000 | NA |
| SWE | PISAMATH | GIRL | MEANSCORE | A | 2018 | 503.000 | NA |
| CHE | PISAMATH | BOY | MEANSCORE | A | 2003 | 535.000 | NA |
| CHE | PISAMATH | BOY | MEANSCORE | A | 2006 | 536.000 | NA |
| CHE | PISAMATH | BOY | MEANSCORE | A | 2009 | 544.000 | NA |
| CHE | PISAMATH | BOY | MEANSCORE | A | 2012 | 537.369 | NA |
| CHE | PISAMATH | BOY | MEANSCORE | A | 2015 | 527.000 | NA |
| CHE | PISAMATH | BOY | MEANSCORE | A | 2018 | 519.000 | NA |
| CHE | PISAMATH | GIRL | MEANSCORE | A | 2003 | 518.000 | NA |
| CHE | PISAMATH | GIRL | MEANSCORE | A | 2006 | 523.000 | NA |
| CHE | PISAMATH | GIRL | MEANSCORE | A | 2009 | 524.000 | NA |
| CHE | PISAMATH | GIRL | MEANSCORE | A | 2012 | 524.473 | NA |
| CHE | PISAMATH | GIRL | MEANSCORE | A | 2015 | 515.000 | NA |
| CHE | PISAMATH | GIRL | MEANSCORE | A | 2018 | 512.000 | NA |
| TUR | PISAMATH | BOY | MEANSCORE | A | 2003 | 430.000 | NA |
| TUR | PISAMATH | BOY | MEANSCORE | A | 2006 | 427.000 | NA |
| TUR | PISAMATH | BOY | MEANSCORE | A | 2009 | 451.000 | NA |
| TUR | PISAMATH | BOY | MEANSCORE | A | 2012 | 451.934 | NA |
| TUR | PISAMATH | BOY | MEANSCORE | A | 2015 | 423.000 | NA |
| TUR | PISAMATH | BOY | MEANSCORE | A | 2018 | 456.000 | NA |
| TUR | PISAMATH | GIRL | MEANSCORE | A | 2003 | 415.000 | NA |
| TUR | PISAMATH | GIRL | MEANSCORE | A | 2006 | 421.000 | NA |
| TUR | PISAMATH | GIRL | MEANSCORE | A | 2009 | 440.000 | NA |
| TUR | PISAMATH | GIRL | MEANSCORE | A | 2012 | 443.948 | NA |
| TUR | PISAMATH | GIRL | MEANSCORE | A | 2015 | 418.000 | NA |
| TUR | PISAMATH | GIRL | MEANSCORE | A | 2018 | 451.000 | NA |
| GBR | PISAMATH | BOY | MEANSCORE | A | 2006 | 504.000 | NA |
| GBR | PISAMATH | BOY | MEANSCORE | A | 2009 | 503.000 | NA |
| GBR | PISAMATH | BOY | MEANSCORE | A | 2012 | 500.295 | NA |
| GBR | PISAMATH | BOY | MEANSCORE | A | 2015 | 498.000 | NA |
| GBR | PISAMATH | BOY | MEANSCORE | A | 2018 | 508.000 | NA |
| GBR | PISAMATH | GIRL | MEANSCORE | A | 2006 | 487.000 | NA |
| GBR | PISAMATH | GIRL | MEANSCORE | A | 2009 | 482.000 | NA |
| GBR | PISAMATH | GIRL | MEANSCORE | A | 2012 | 487.815 | NA |
| GBR | PISAMATH | GIRL | MEANSCORE | A | 2015 | 487.000 | NA |
| GBR | PISAMATH | GIRL | MEANSCORE | A | 2018 | 496.000 | NA |
| USA | PISAMATH | BOY | MEANSCORE | A | 2003 | 486.000 | NA |
| USA | PISAMATH | BOY | MEANSCORE | A | 2006 | 479.000 | NA |
| USA | PISAMATH | BOY | MEANSCORE | A | 2009 | 497.000 | NA |
| USA | PISAMATH | BOY | MEANSCORE | A | 2012 | 483.647 | NA |
| USA | PISAMATH | BOY | MEANSCORE | A | 2015 | 474.000 | NA |
| USA | PISAMATH | BOY | MEANSCORE | A | 2018 | 482.000 | NA |
| USA | PISAMATH | GIRL | MEANSCORE | A | 2003 | 480.000 | NA |
| USA | PISAMATH | GIRL | MEANSCORE | A | 2006 | 470.000 | NA |
| USA | PISAMATH | GIRL | MEANSCORE | A | 2009 | 477.000 | NA |
| USA | PISAMATH | GIRL | MEANSCORE | A | 2012 | 478.995 | NA |
| USA | PISAMATH | GIRL | MEANSCORE | A | 2015 | 465.000 | NA |
| USA | PISAMATH | GIRL | MEANSCORE | A | 2018 | 474.000 | NA |
| BRA | PISAMATH | BOY | MEANSCORE | A | 2003 | 365.000 | NA |
| BRA | PISAMATH | BOY | MEANSCORE | A | 2006 | 380.000 | NA |
| BRA | PISAMATH | BOY | MEANSCORE | A | 2009 | 394.000 | NA |
| BRA | PISAMATH | BOY | MEANSCORE | A | 2012 | 400.769 | NA |
| BRA | PISAMATH | BOY | MEANSCORE | A | 2015 | 385.000 | NA |
| BRA | PISAMATH | BOY | MEANSCORE | A | 2018 | 388.000 | NA |
| BRA | PISAMATH | GIRL | MEANSCORE | A | 2003 | 348.000 | NA |
| BRA | PISAMATH | GIRL | MEANSCORE | A | 2006 | 361.000 | NA |
| BRA | PISAMATH | GIRL | MEANSCORE | A | 2009 | 379.000 | NA |
| BRA | PISAMATH | GIRL | MEANSCORE | A | 2012 | 382.925 | NA |
| BRA | PISAMATH | GIRL | MEANSCORE | A | 2015 | 370.000 | NA |
| BRA | PISAMATH | GIRL | MEANSCORE | A | 2018 | 379.000 | NA |
| CHL | PISAMATH | BOY | MEANSCORE | A | 2006 | 424.000 | NA |
| CHL | PISAMATH | BOY | MEANSCORE | A | 2009 | 431.000 | NA |
| CHL | PISAMATH | BOY | MEANSCORE | A | 2012 | 435.525 | NA |
| CHL | PISAMATH | BOY | MEANSCORE | A | 2015 | 432.000 | NA |
| CHL | PISAMATH | BOY | MEANSCORE | A | 2018 | 421.000 | NA |
| CHL | PISAMATH | GIRL | MEANSCORE | A | 2006 | 396.000 | NA |
| CHL | PISAMATH | GIRL | MEANSCORE | A | 2009 | 410.000 | NA |
| CHL | PISAMATH | GIRL | MEANSCORE | A | 2012 | 410.543 | NA |
| CHL | PISAMATH | GIRL | MEANSCORE | A | 2015 | 413.000 | NA |
| CHL | PISAMATH | GIRL | MEANSCORE | A | 2018 | 414.000 | NA |
| EST | PISAMATH | BOY | MEANSCORE | A | 2006 | 515.000 | NA |
| EST | PISAMATH | BOY | MEANSCORE | A | 2009 | 516.000 | NA |
| EST | PISAMATH | BOY | MEANSCORE | A | 2012 | 523.214 | NA |
| EST | PISAMATH | BOY | MEANSCORE | A | 2015 | 522.000 | NA |
| EST | PISAMATH | BOY | MEANSCORE | A | 2018 | 528.000 | NA |
| EST | PISAMATH | GIRL | MEANSCORE | A | 2006 | 514.000 | NA |
| EST | PISAMATH | GIRL | MEANSCORE | A | 2009 | 508.000 | NA |
| EST | PISAMATH | GIRL | MEANSCORE | A | 2012 | 517.930 | NA |
| EST | PISAMATH | GIRL | MEANSCORE | A | 2015 | 517.000 | NA |
| EST | PISAMATH | GIRL | MEANSCORE | A | 2018 | 519.000 | NA |
| IDN | PISAMATH | BOY | MEANSCORE | A | 2003 | 362.000 | NA |
| IDN | PISAMATH | BOY | MEANSCORE | A | 2006 | 399.000 | NA |
| IDN | PISAMATH | BOY | MEANSCORE | A | 2009 | 371.000 | NA |
| IDN | PISAMATH | BOY | MEANSCORE | A | 2012 | 377.376 | NA |
| IDN | PISAMATH | BOY | MEANSCORE | A | 2015 | 385.000 | NA |
| IDN | PISAMATH | BOY | MEANSCORE | A | 2018 | 374.000 | NA |
| IDN | PISAMATH | GIRL | MEANSCORE | A | 2003 | 358.000 | NA |
| IDN | PISAMATH | GIRL | MEANSCORE | A | 2006 | 382.000 | NA |
| IDN | PISAMATH | GIRL | MEANSCORE | A | 2009 | 372.000 | NA |
| IDN | PISAMATH | GIRL | MEANSCORE | A | 2012 | 372.785 | NA |
| IDN | PISAMATH | GIRL | MEANSCORE | A | 2015 | 387.000 | NA |
| IDN | PISAMATH | GIRL | MEANSCORE | A | 2018 | 383.000 | NA |
| ISR | PISAMATH | BOY | MEANSCORE | A | 2006 | 448.000 | NA |
| ISR | PISAMATH | BOY | MEANSCORE | A | 2009 | 451.000 | NA |
| ISR | PISAMATH | BOY | MEANSCORE | A | 2012 | 472.398 | NA |
| ISR | PISAMATH | BOY | MEANSCORE | A | 2015 | 474.000 | NA |
| ISR | PISAMATH | BOY | MEANSCORE | A | 2018 | 458.000 | NA |
| ISR | PISAMATH | GIRL | MEANSCORE | A | 2006 | 436.000 | NA |
| ISR | PISAMATH | GIRL | MEANSCORE | A | 2009 | 443.000 | NA |
| ISR | PISAMATH | GIRL | MEANSCORE | A | 2012 | 460.749 | NA |
| ISR | PISAMATH | GIRL | MEANSCORE | A | 2015 | 466.000 | NA |
| ISR | PISAMATH | GIRL | MEANSCORE | A | 2018 | 467.000 | NA |
| RUS | PISAMATH | BOY | MEANSCORE | A | 2003 | 473.000 | NA |
| RUS | PISAMATH | BOY | MEANSCORE | A | 2009 | 469.000 | NA |
| RUS | PISAMATH | BOY | MEANSCORE | A | 2012 | 481.394 | NA |
| RUS | PISAMATH | BOY | MEANSCORE | A | 2015 | 497.000 | NA |
| RUS | PISAMATH | BOY | MEANSCORE | A | 2018 | 490.000 | NA |
| RUS | PISAMATH | GIRL | MEANSCORE | A | 2003 | 463.000 | NA |
| RUS | PISAMATH | GIRL | MEANSCORE | A | 2009 | 467.000 | NA |
| RUS | PISAMATH | GIRL | MEANSCORE | A | 2012 | 482.944 | NA |
| RUS | PISAMATH | GIRL | MEANSCORE | A | 2015 | 491.000 | NA |
| RUS | PISAMATH | GIRL | MEANSCORE | A | 2018 | 485.000 | NA |
| SVN | PISAMATH | BOY | MEANSCORE | A | 2006 | 507.000 | NA |
| SVN | PISAMATH | BOY | MEANSCORE | A | 2009 | 502.000 | NA |
| SVN | PISAMATH | BOY | MEANSCORE | A | 2012 | 502.748 | NA |
| SVN | PISAMATH | BOY | MEANSCORE | A | 2015 | 512.000 | NA |
| SVN | PISAMATH | BOY | MEANSCORE | A | 2018 | 509.000 | NA |
| SVN | PISAMATH | GIRL | MEANSCORE | A | 2006 | 502.000 | NA |
| SVN | PISAMATH | GIRL | MEANSCORE | A | 2009 | 501.000 | NA |
| SVN | PISAMATH | GIRL | MEANSCORE | A | 2012 | 499.387 | NA |
| SVN | PISAMATH | GIRL | MEANSCORE | A | 2015 | 508.000 | NA |
| SVN | PISAMATH | GIRL | MEANSCORE | A | 2018 | 509.000 | NA |
| OAVG | PISAMATH | BOY | MEANSCORE | A | 2003 | 505.333 | NA |
| OAVG | PISAMATH | BOY | MEANSCORE | A | 2006 | 499.706 | NA |
| OAVG | PISAMATH | BOY | MEANSCORE | A | 2009 | 501.382 | NA |
| OAVG | PISAMATH | BOY | MEANSCORE | A | 2012 | 499.421 | NA |
| OAVG | PISAMATH | BOY | MEANSCORE | A | 2015 | 494.000 | NA |
| OAVG | PISAMATH | BOY | MEANSCORE | A | 2018 | 492.000 | NA |
| OAVG | PISAMATH | GIRL | MEANSCORE | A | 2003 | 494.833 | NA |
| OAVG | PISAMATH | GIRL | MEANSCORE | A | 2006 | 488.588 | NA |
| OAVG | PISAMATH | GIRL | MEANSCORE | A | 2009 | 489.794 | NA |
| OAVG | PISAMATH | GIRL | MEANSCORE | A | 2012 | 488.551 | NA |
| OAVG | PISAMATH | GIRL | MEANSCORE | A | 2015 | 486.000 | NA |
| OAVG | PISAMATH | GIRL | MEANSCORE | A | 2018 | 487.000 | NA |
| LVA | PISAMATH | BOY | MEANSCORE | A | 2015 | 481.000 | NA |
| LVA | PISAMATH | BOY | MEANSCORE | A | 2018 | 500.000 | NA |
| LVA | PISAMATH | GIRL | MEANSCORE | A | 2015 | 483.000 | NA |
| LVA | PISAMATH | GIRL | MEANSCORE | A | 2018 | 493.000 | NA |
| AUS | PISAMATH | TOT | MEANSCORE | A | 2003 | 524.000 | NA |
| AUS | PISAMATH | TOT | MEANSCORE | A | 2006 | 520.000 | NA |
| AUS | PISAMATH | TOT | MEANSCORE | A | 2009 | 514.000 | NA |
| AUS | PISAMATH | TOT | MEANSCORE | A | 2012 | 504.000 | NA |
| AUS | PISAMATH | TOT | MEANSCORE | A | 2015 | 494.000 | NA |
| AUS | PISAMATH | TOT | MEANSCORE | A | 2018 | 491.000 | NA |
| AUT | PISAMATH | TOT | MEANSCORE | A | 2003 | 506.000 | NA |
| AUT | PISAMATH | TOT | MEANSCORE | A | 2006 | 505.000 | NA |
| AUT | PISAMATH | TOT | MEANSCORE | A | 2012 | 506.000 | NA |
| AUT | PISAMATH | TOT | MEANSCORE | A | 2015 | 497.000 | NA |
| AUT | PISAMATH | TOT | MEANSCORE | A | 2018 | 499.000 | NA |
| BEL | PISAMATH | TOT | MEANSCORE | A | 2003 | 529.000 | NA |
| BEL | PISAMATH | TOT | MEANSCORE | A | 2006 | 520.000 | NA |
| BEL | PISAMATH | TOT | MEANSCORE | A | 2009 | 515.000 | NA |
| BEL | PISAMATH | TOT | MEANSCORE | A | 2012 | 515.000 | NA |
| BEL | PISAMATH | TOT | MEANSCORE | A | 2015 | 507.000 | NA |
| BEL | PISAMATH | TOT | MEANSCORE | A | 2018 | 508.000 | NA |
| CAN | PISAMATH | TOT | MEANSCORE | A | 2003 | 532.000 | NA |
| CAN | PISAMATH | TOT | MEANSCORE | A | 2006 | 527.000 | NA |
| CAN | PISAMATH | TOT | MEANSCORE | A | 2009 | 527.000 | NA |
| CAN | PISAMATH | TOT | MEANSCORE | A | 2012 | 518.000 | NA |
| CAN | PISAMATH | TOT | MEANSCORE | A | 2015 | 516.000 | NA |
| CAN | PISAMATH | TOT | MEANSCORE | A | 2018 | 512.000 | NA |
| CZE | PISAMATH | TOT | MEANSCORE | A | 2003 | 516.000 | NA |
| CZE | PISAMATH | TOT | MEANSCORE | A | 2006 | 510.000 | NA |
| CZE | PISAMATH | TOT | MEANSCORE | A | 2009 | 493.000 | NA |
| CZE | PISAMATH | TOT | MEANSCORE | A | 2012 | 499.000 | NA |
| CZE | PISAMATH | TOT | MEANSCORE | A | 2015 | 492.000 | NA |
| CZE | PISAMATH | TOT | MEANSCORE | A | 2018 | 499.000 | NA |
| DNK | PISAMATH | TOT | MEANSCORE | A | 2003 | 514.000 | NA |
| DNK | PISAMATH | TOT | MEANSCORE | A | 2006 | 513.000 | NA |
| DNK | PISAMATH | TOT | MEANSCORE | A | 2009 | 503.000 | NA |
| DNK | PISAMATH | TOT | MEANSCORE | A | 2012 | 500.000 | NA |
| DNK | PISAMATH | TOT | MEANSCORE | A | 2015 | 511.000 | NA |
| DNK | PISAMATH | TOT | MEANSCORE | A | 2018 | 509.000 | NA |
| FIN | PISAMATH | TOT | MEANSCORE | A | 2003 | 544.000 | NA |
| FIN | PISAMATH | TOT | MEANSCORE | A | 2006 | 548.000 | NA |
| FIN | PISAMATH | TOT | MEANSCORE | A | 2009 | 541.000 | NA |
| FIN | PISAMATH | TOT | MEANSCORE | A | 2012 | 519.000 | NA |
| FIN | PISAMATH | TOT | MEANSCORE | A | 2015 | 511.000 | NA |
| FIN | PISAMATH | TOT | MEANSCORE | A | 2018 | 507.000 | NA |
| FRA | PISAMATH | TOT | MEANSCORE | A | 2003 | 511.000 | NA |
| FRA | PISAMATH | TOT | MEANSCORE | A | 2006 | 496.000 | NA |
| FRA | PISAMATH | TOT | MEANSCORE | A | 2009 | 497.000 | NA |
| FRA | PISAMATH | TOT | MEANSCORE | A | 2012 | 495.000 | NA |
| FRA | PISAMATH | TOT | MEANSCORE | A | 2015 | 493.000 | NA |
| FRA | PISAMATH | TOT | MEANSCORE | A | 2018 | 495.000 | NA |
| DEU | PISAMATH | TOT | MEANSCORE | A | 2003 | 503.000 | NA |
| DEU | PISAMATH | TOT | MEANSCORE | A | 2006 | 504.000 | NA |
| DEU | PISAMATH | TOT | MEANSCORE | A | 2009 | 513.000 | NA |
| DEU | PISAMATH | TOT | MEANSCORE | A | 2012 | 514.000 | NA |
| DEU | PISAMATH | TOT | MEANSCORE | A | 2015 | 506.000 | NA |
| DEU | PISAMATH | TOT | MEANSCORE | A | 2018 | 500.000 | NA |
| GRC | PISAMATH | TOT | MEANSCORE | A | 2003 | 445.000 | NA |
| GRC | PISAMATH | TOT | MEANSCORE | A | 2006 | 459.000 | NA |
| GRC | PISAMATH | TOT | MEANSCORE | A | 2009 | 466.000 | NA |
| GRC | PISAMATH | TOT | MEANSCORE | A | 2012 | 453.000 | NA |
| GRC | PISAMATH | TOT | MEANSCORE | A | 2015 | 454.000 | NA |
| GRC | PISAMATH | TOT | MEANSCORE | A | 2018 | 451.000 | NA |
| HUN | PISAMATH | TOT | MEANSCORE | A | 2003 | 490.000 | NA |
| HUN | PISAMATH | TOT | MEANSCORE | A | 2006 | 491.000 | NA |
| HUN | PISAMATH | TOT | MEANSCORE | A | 2009 | 490.000 | NA |
| HUN | PISAMATH | TOT | MEANSCORE | A | 2012 | 477.000 | NA |
| HUN | PISAMATH | TOT | MEANSCORE | A | 2015 | 477.000 | NA |
| HUN | PISAMATH | TOT | MEANSCORE | A | 2018 | 481.000 | NA |
| ISL | PISAMATH | TOT | MEANSCORE | A | 2003 | 515.000 | NA |
| ISL | PISAMATH | TOT | MEANSCORE | A | 2006 | 506.000 | NA |
| ISL | PISAMATH | TOT | MEANSCORE | A | 2009 | 507.000 | NA |
| ISL | PISAMATH | TOT | MEANSCORE | A | 2012 | 493.000 | NA |
| ISL | PISAMATH | TOT | MEANSCORE | A | 2015 | 488.000 | NA |
| ISL | PISAMATH | TOT | MEANSCORE | A | 2018 | 495.000 | NA |
| IRL | PISAMATH | TOT | MEANSCORE | A | 2003 | 503.000 | NA |
| IRL | PISAMATH | TOT | MEANSCORE | A | 2006 | 501.000 | NA |
| IRL | PISAMATH | TOT | MEANSCORE | A | 2009 | 487.000 | NA |
| IRL | PISAMATH | TOT | MEANSCORE | A | 2012 | 501.000 | NA |
| IRL | PISAMATH | TOT | MEANSCORE | A | 2015 | 504.000 | NA |
| IRL | PISAMATH | TOT | MEANSCORE | A | 2018 | 500.000 | NA |
| ITA | PISAMATH | TOT | MEANSCORE | A | 2003 | 466.000 | NA |
| ITA | PISAMATH | TOT | MEANSCORE | A | 2006 | 462.000 | NA |
| ITA | PISAMATH | TOT | MEANSCORE | A | 2009 | 483.000 | NA |
| ITA | PISAMATH | TOT | MEANSCORE | A | 2012 | 485.000 | NA |
| ITA | PISAMATH | TOT | MEANSCORE | A | 2015 | 490.000 | NA |
| ITA | PISAMATH | TOT | MEANSCORE | A | 2018 | 487.000 | NA |
| JPN | PISAMATH | TOT | MEANSCORE | A | 2003 | 534.000 | NA |
| JPN | PISAMATH | TOT | MEANSCORE | A | 2006 | 523.000 | NA |
| JPN | PISAMATH | TOT | MEANSCORE | A | 2009 | 529.000 | NA |
| JPN | PISAMATH | TOT | MEANSCORE | A | 2012 | 536.000 | NA |
| JPN | PISAMATH | TOT | MEANSCORE | A | 2015 | 532.000 | NA |
| JPN | PISAMATH | TOT | MEANSCORE | A | 2018 | 527.000 | NA |
| KOR | PISAMATH | TOT | MEANSCORE | A | 2003 | 542.000 | NA |
| KOR | PISAMATH | TOT | MEANSCORE | A | 2006 | 547.000 | NA |
| KOR | PISAMATH | TOT | MEANSCORE | A | 2009 | 546.000 | NA |
| KOR | PISAMATH | TOT | MEANSCORE | A | 2012 | 554.000 | NA |
| KOR | PISAMATH | TOT | MEANSCORE | A | 2015 | 524.000 | NA |
| KOR | PISAMATH | TOT | MEANSCORE | A | 2018 | 526.000 | NA |
| LUX | PISAMATH | TOT | MEANSCORE | A | 2003 | 493.000 | NA |
| LUX | PISAMATH | TOT | MEANSCORE | A | 2006 | 490.000 | NA |
| LUX | PISAMATH | TOT | MEANSCORE | A | 2009 | 489.000 | NA |
| LUX | PISAMATH | TOT | MEANSCORE | A | 2012 | 490.000 | NA |
| LUX | PISAMATH | TOT | MEANSCORE | A | 2015 | 486.000 | NA |
| LUX | PISAMATH | TOT | MEANSCORE | A | 2018 | 483.000 | NA |
| MEX | PISAMATH | TOT | MEANSCORE | A | 2003 | 385.000 | NA |
| MEX | PISAMATH | TOT | MEANSCORE | A | 2006 | 406.000 | NA |
| MEX | PISAMATH | TOT | MEANSCORE | A | 2009 | 419.000 | NA |
| MEX | PISAMATH | TOT | MEANSCORE | A | 2012 | 413.000 | NA |
| MEX | PISAMATH | TOT | MEANSCORE | A | 2015 | 408.000 | NA |
| MEX | PISAMATH | TOT | MEANSCORE | A | 2018 | 409.000 | NA |
| NLD | PISAMATH | TOT | MEANSCORE | A | 2003 | 538.000 | NA |
| NLD | PISAMATH | TOT | MEANSCORE | A | 2006 | 531.000 | NA |
| NLD | PISAMATH | TOT | MEANSCORE | A | 2009 | 526.000 | NA |
| NLD | PISAMATH | TOT | MEANSCORE | A | 2012 | 523.000 | NA |
| NLD | PISAMATH | TOT | MEANSCORE | A | 2015 | 512.000 | NA |
| NLD | PISAMATH | TOT | MEANSCORE | A | 2018 | 519.000 | NA |
| NZL | PISAMATH | TOT | MEANSCORE | A | 2003 | 523.000 | NA |
| NZL | PISAMATH | TOT | MEANSCORE | A | 2006 | 522.000 | NA |
| NZL | PISAMATH | TOT | MEANSCORE | A | 2009 | 519.000 | NA |
| NZL | PISAMATH | TOT | MEANSCORE | A | 2012 | 500.000 | NA |
| NZL | PISAMATH | TOT | MEANSCORE | A | 2015 | 495.000 | NA |
| NZL | PISAMATH | TOT | MEANSCORE | A | 2018 | 494.000 | NA |
| NOR | PISAMATH | TOT | MEANSCORE | A | 2003 | 495.000 | NA |
| NOR | PISAMATH | TOT | MEANSCORE | A | 2006 | 490.000 | NA |
| NOR | PISAMATH | TOT | MEANSCORE | A | 2009 | 498.000 | NA |
| NOR | PISAMATH | TOT | MEANSCORE | A | 2012 | 489.000 | NA |
| NOR | PISAMATH | TOT | MEANSCORE | A | 2015 | 502.000 | NA |
| NOR | PISAMATH | TOT | MEANSCORE | A | 2018 | 501.000 | NA |
| POL | PISAMATH | TOT | MEANSCORE | A | 2003 | 490.000 | NA |
| POL | PISAMATH | TOT | MEANSCORE | A | 2006 | 495.000 | NA |
| POL | PISAMATH | TOT | MEANSCORE | A | 2009 | 495.000 | NA |
| POL | PISAMATH | TOT | MEANSCORE | A | 2012 | 518.000 | NA |
| POL | PISAMATH | TOT | MEANSCORE | A | 2015 | 504.000 | NA |
| POL | PISAMATH | TOT | MEANSCORE | A | 2018 | 516.000 | NA |
| PRT | PISAMATH | TOT | MEANSCORE | A | 2003 | 466.000 | NA |
| PRT | PISAMATH | TOT | MEANSCORE | A | 2006 | 466.000 | NA |
| PRT | PISAMATH | TOT | MEANSCORE | A | 2009 | 487.000 | NA |
| PRT | PISAMATH | TOT | MEANSCORE | A | 2012 | 487.000 | NA |
| PRT | PISAMATH | TOT | MEANSCORE | A | 2015 | 492.000 | NA |
| PRT | PISAMATH | TOT | MEANSCORE | A | 2018 | 492.000 | NA |
| SVK | PISAMATH | TOT | MEANSCORE | A | 2003 | 498.000 | NA |
| SVK | PISAMATH | TOT | MEANSCORE | A | 2006 | 492.000 | NA |
| SVK | PISAMATH | TOT | MEANSCORE | A | 2009 | 497.000 | NA |
| SVK | PISAMATH | TOT | MEANSCORE | A | 2012 | 482.000 | NA |
| SVK | PISAMATH | TOT | MEANSCORE | A | 2015 | 475.000 | NA |
| SVK | PISAMATH | TOT | MEANSCORE | A | 2018 | 486.000 | NA |
| ESP | PISAMATH | TOT | MEANSCORE | A | 2003 | 485.000 | NA |
| ESP | PISAMATH | TOT | MEANSCORE | A | 2006 | 480.000 | NA |
| ESP | PISAMATH | TOT | MEANSCORE | A | 2009 | 483.000 | NA |
| ESP | PISAMATH | TOT | MEANSCORE | A | 2012 | 484.000 | NA |
| ESP | PISAMATH | TOT | MEANSCORE | A | 2015 | 486.000 | NA |
| ESP | PISAMATH | TOT | MEANSCORE | A | 2018 | 481.000 | NA |
| SWE | PISAMATH | TOT | MEANSCORE | A | 2003 | 509.000 | NA |
| SWE | PISAMATH | TOT | MEANSCORE | A | 2006 | 502.000 | NA |
| SWE | PISAMATH | TOT | MEANSCORE | A | 2009 | 494.000 | NA |
| SWE | PISAMATH | TOT | MEANSCORE | A | 2012 | 478.000 | NA |
| SWE | PISAMATH | TOT | MEANSCORE | A | 2015 | 494.000 | NA |
| SWE | PISAMATH | TOT | MEANSCORE | A | 2018 | 502.000 | NA |
| CHE | PISAMATH | TOT | MEANSCORE | A | 2003 | 527.000 | NA |
| CHE | PISAMATH | TOT | MEANSCORE | A | 2006 | 530.000 | NA |
| CHE | PISAMATH | TOT | MEANSCORE | A | 2009 | 534.000 | NA |
| CHE | PISAMATH | TOT | MEANSCORE | A | 2012 | 531.000 | NA |
| CHE | PISAMATH | TOT | MEANSCORE | A | 2015 | 521.000 | NA |
| CHE | PISAMATH | TOT | MEANSCORE | A | 2018 | 515.000 | NA |
| TUR | PISAMATH | TOT | MEANSCORE | A | 2003 | 423.000 | NA |
| TUR | PISAMATH | TOT | MEANSCORE | A | 2006 | 424.000 | NA |
| TUR | PISAMATH | TOT | MEANSCORE | A | 2009 | 445.000 | NA |
| TUR | PISAMATH | TOT | MEANSCORE | A | 2012 | 448.000 | NA |
| TUR | PISAMATH | TOT | MEANSCORE | A | 2015 | 420.000 | NA |
| TUR | PISAMATH | TOT | MEANSCORE | A | 2018 | 454.000 | NA |
| GBR | PISAMATH | TOT | MEANSCORE | A | 2006 | 495.000 | NA |
| GBR | PISAMATH | TOT | MEANSCORE | A | 2009 | 492.000 | NA |
| GBR | PISAMATH | TOT | MEANSCORE | A | 2012 | 494.000 | NA |
| GBR | PISAMATH | TOT | MEANSCORE | A | 2015 | 492.000 | NA |
| GBR | PISAMATH | TOT | MEANSCORE | A | 2018 | 502.000 | NA |
| USA | PISAMATH | TOT | MEANSCORE | A | 2003 | 483.000 | NA |
| USA | PISAMATH | TOT | MEANSCORE | A | 2006 | 474.000 | NA |
| USA | PISAMATH | TOT | MEANSCORE | A | 2009 | 487.000 | NA |
| USA | PISAMATH | TOT | MEANSCORE | A | 2012 | 481.000 | NA |
| USA | PISAMATH | TOT | MEANSCORE | A | 2015 | 470.000 | NA |
| USA | PISAMATH | TOT | MEANSCORE | A | 2018 | 478.000 | NA |
| BRA | PISAMATH | TOT | MEANSCORE | A | 2003 | 356.000 | NA |
| BRA | PISAMATH | TOT | MEANSCORE | A | 2006 | 370.000 | NA |
| BRA | PISAMATH | TOT | MEANSCORE | A | 2009 | 386.000 | NA |
| BRA | PISAMATH | TOT | MEANSCORE | A | 2012 | 389.000 | NA |
| BRA | PISAMATH | TOT | MEANSCORE | A | 2015 | 377.000 | NA |
| BRA | PISAMATH | TOT | MEANSCORE | A | 2018 | 384.000 | NA |
| CHL | PISAMATH | TOT | MEANSCORE | A | 2006 | 411.000 | NA |
| CHL | PISAMATH | TOT | MEANSCORE | A | 2009 | 421.000 | NA |
| CHL | PISAMATH | TOT | MEANSCORE | A | 2012 | 423.000 | NA |
| CHL | PISAMATH | TOT | MEANSCORE | A | 2015 | 423.000 | NA |
| CHL | PISAMATH | TOT | MEANSCORE | A | 2018 | 417.000 | NA |
| EST | PISAMATH | TOT | MEANSCORE | A | 2006 | 515.000 | NA |
| EST | PISAMATH | TOT | MEANSCORE | A | 2009 | 512.000 | NA |
| EST | PISAMATH | TOT | MEANSCORE | A | 2012 | 521.000 | NA |
| EST | PISAMATH | TOT | MEANSCORE | A | 2015 | 520.000 | NA |
| EST | PISAMATH | TOT | MEANSCORE | A | 2018 | 523.000 | NA |
| IDN | PISAMATH | TOT | MEANSCORE | A | 2003 | 360.000 | NA |
| IDN | PISAMATH | TOT | MEANSCORE | A | 2006 | 391.000 | NA |
| IDN | PISAMATH | TOT | MEANSCORE | A | 2009 | 371.000 | NA |
| IDN | PISAMATH | TOT | MEANSCORE | A | 2012 | 375.000 | NA |
| IDN | PISAMATH | TOT | MEANSCORE | A | 2015 | 386.000 | NA |
| IDN | PISAMATH | TOT | MEANSCORE | A | 2018 | 379.000 | NA |
| ISR | PISAMATH | TOT | MEANSCORE | A | 2006 | 442.000 | NA |
| ISR | PISAMATH | TOT | MEANSCORE | A | 2009 | 447.000 | NA |
| ISR | PISAMATH | TOT | MEANSCORE | A | 2012 | 466.000 | NA |
| ISR | PISAMATH | TOT | MEANSCORE | A | 2015 | 470.000 | NA |
| ISR | PISAMATH | TOT | MEANSCORE | A | 2018 | 463.000 | NA |
| LVA | PISAMATH | TOT | MEANSCORE | A | 2003 | 483.000 | NA |
| LVA | PISAMATH | TOT | MEANSCORE | A | 2006 | 486.000 | NA |
| LVA | PISAMATH | TOT | MEANSCORE | A | 2009 | 482.000 | NA |
| LVA | PISAMATH | TOT | MEANSCORE | A | 2012 | 491.000 | NA |
| LVA | PISAMATH | TOT | MEANSCORE | A | 2015 | 482.000 | NA |
| LVA | PISAMATH | TOT | MEANSCORE | A | 2018 | 496.000 | NA |
| RUS | PISAMATH | TOT | MEANSCORE | A | 2003 | 468.000 | NA |
| RUS | PISAMATH | TOT | MEANSCORE | A | 2006 | 476.000 | NA |
| RUS | PISAMATH | TOT | MEANSCORE | A | 2009 | 468.000 | NA |
| RUS | PISAMATH | TOT | MEANSCORE | A | 2012 | 482.000 | NA |
| RUS | PISAMATH | TOT | MEANSCORE | A | 2015 | 494.000 | NA |
| RUS | PISAMATH | TOT | MEANSCORE | A | 2018 | 488.000 | NA |
| SGP | PISAMATH | BOY | MEANSCORE | A | 2015 | 564.000 | NA |
| SGP | PISAMATH | GIRL | MEANSCORE | A | 2015 | 564.000 | NA |
| SVN | PISAMATH | TOT | MEANSCORE | A | 2006 | 504.000 | NA |
| SVN | PISAMATH | TOT | MEANSCORE | A | 2009 | 501.000 | NA |
| SVN | PISAMATH | TOT | MEANSCORE | A | 2012 | 501.000 | NA |
| SVN | PISAMATH | TOT | MEANSCORE | A | 2015 | 510.000 | NA |
| SVN | PISAMATH | TOT | MEANSCORE | A | 2018 | 509.000 | NA |
| OAVG | PISAMATH | TOT | MEANSCORE | A | 2006 | 494.000 | NA |
| OAVG | PISAMATH | TOT | MEANSCORE | A | 2009 | 495.000 | NA |
| OAVG | PISAMATH | TOT | MEANSCORE | A | 2012 | 494.000 | NA |
| OAVG | PISAMATH | TOT | MEANSCORE | A | 2015 | 490.000 | NA |
| OAVG | PISAMATH | TOT | MEANSCORE | A | 2018 | 489.000 | NA |
| COL | PISAMATH | TOT | MEANSCORE | A | 2015 | 390.000 | NA |
| COL | PISAMATH | TOT | MEANSCORE | A | 2018 | 391.000 | NA |
| COL | PISAMATH | BOY | MEANSCORE | A | 2015 | 395.000 | NA |
| COL | PISAMATH | BOY | MEANSCORE | A | 2018 | 401.000 | NA |
| COL | PISAMATH | GIRL | MEANSCORE | A | 2015 | 384.000 | NA |
| COL | PISAMATH | GIRL | MEANSCORE | A | 2018 | 381.000 | NA |
| HKG | PISAMATH | TOT | MEANSCORE | A | 2015 | 548.000 | NA |
| HKG | PISAMATH | BOY | MEANSCORE | A | 2015 | 549.000 | NA |
| HKG | PISAMATH | GIRL | MEANSCORE | A | 2015 | 547.000 | NA |
| PER | PISAMATH | TOT | MEANSCORE | A | 2015 | 387.000 | NA |
| PER | PISAMATH | BOY | MEANSCORE | A | 2015 | 391.000 | NA |
| PER | PISAMATH | GIRL | MEANSCORE | A | 2015 | 382.000 | NA |
| SGP | PISAMATH | TOT | MEANSCORE | A | 2015 | 564.000 | NA |
| TWN | PISAMATH | TOT | MEANSCORE | A | 2015 | 542.000 | NA |
| TWN | PISAMATH | BOY | MEANSCORE | A | 2015 | 545.000 | NA |
| TWN | PISAMATH | GIRL | MEANSCORE | A | 2015 | 539.000 | NA |
| MAC | PISAMATH | TOT | MEANSCORE | A | 2015 | 544.000 | NA |
| MAC | PISAMATH | BOY | MEANSCORE | A | 2015 | 540.000 | NA |
| MAC | PISAMATH | GIRL | MEANSCORE | A | 2015 | 548.000 | NA |
| CRI | PISAMATH | TOT | MEANSCORE | A | 2018 | 402.000 | NA |
| CRI | PISAMATH | BOY | MEANSCORE | A | 2018 | 411.000 | NA |
| CRI | PISAMATH | GIRL | MEANSCORE | A | 2018 | 394.000 | NA |
| LTU | PISAMATH | TOT | MEANSCORE | A | 2018 | 481.000 | NA |
| LTU | PISAMATH | BOY | MEANSCORE | A | 2018 | 480.000 | NA |
| LTU | PISAMATH | GIRL | MEANSCORE | A | 2018 | 482.000 | NA |
| LOCATION | INDICATOR | SUBJECT | MEASURE | FREQUENCY | TIME | Value | Flag.Codes |
|---|---|---|---|---|---|---|---|
| AUS | PISAREAD | BOY | MEANSCORE | A | 2000 | 513.000 | NA |
| AUS | PISAREAD | BOY | MEANSCORE | A | 2003 | 506.000 | NA |
| AUS | PISAREAD | BOY | MEANSCORE | A | 2006 | 495.000 | NA |
| AUS | PISAREAD | BOY | MEANSCORE | A | 2009 | 496.000 | NA |
| AUS | PISAREAD | BOY | MEANSCORE | A | 2012 | 495.090 | NA |
| AUS | PISAREAD | BOY | MEANSCORE | A | 2015 | 487.000 | NA |
| AUS | PISAREAD | BOY | MEANSCORE | A | 2018 | 487.000 | NA |
| AUS | PISAREAD | GIRL | MEANSCORE | A | 2000 | 546.000 | NA |
| AUS | PISAREAD | GIRL | MEANSCORE | A | 2003 | 545.000 | NA |
| AUS | PISAREAD | GIRL | MEANSCORE | A | 2006 | 532.000 | NA |
| AUS | PISAREAD | GIRL | MEANSCORE | A | 2009 | 533.000 | NA |
| AUS | PISAREAD | GIRL | MEANSCORE | A | 2012 | 529.542 | NA |
| AUS | PISAREAD | GIRL | MEANSCORE | A | 2015 | 519.000 | NA |
| AUS | PISAREAD | GIRL | MEANSCORE | A | 2018 | 519.000 | NA |
| AUT | PISAREAD | BOY | MEANSCORE | A | 2000 | 476.000 | NA |
| AUT | PISAREAD | BOY | MEANSCORE | A | 2003 | 467.000 | NA |
| AUT | PISAREAD | BOY | MEANSCORE | A | 2006 | 468.000 | NA |
| AUT | PISAREAD | BOY | MEANSCORE | A | 2012 | 471.093 | NA |
| AUT | PISAREAD | BOY | MEANSCORE | A | 2015 | 475.000 | NA |
| AUT | PISAREAD | BOY | MEANSCORE | A | 2018 | 471.000 | NA |
| AUT | PISAREAD | GIRL | MEANSCORE | A | 2000 | 509.000 | NA |
| AUT | PISAREAD | GIRL | MEANSCORE | A | 2003 | 514.000 | NA |
| AUT | PISAREAD | GIRL | MEANSCORE | A | 2006 | 513.000 | NA |
| AUT | PISAREAD | GIRL | MEANSCORE | A | 2012 | 508.021 | NA |
| AUT | PISAREAD | GIRL | MEANSCORE | A | 2015 | 495.000 | NA |
| AUT | PISAREAD | GIRL | MEANSCORE | A | 2018 | 499.000 | NA |
| BEL | PISAREAD | BOY | MEANSCORE | A | 2000 | 492.000 | NA |
| BEL | PISAREAD | BOY | MEANSCORE | A | 2003 | 489.000 | NA |
| BEL | PISAREAD | BOY | MEANSCORE | A | 2006 | 482.000 | NA |
| BEL | PISAREAD | BOY | MEANSCORE | A | 2009 | 493.000 | NA |
| BEL | PISAREAD | BOY | MEANSCORE | A | 2012 | 492.755 | NA |
| BEL | PISAREAD | BOY | MEANSCORE | A | 2015 | 491.000 | NA |
| BEL | PISAREAD | BOY | MEANSCORE | A | 2018 | 482.000 | NA |
| BEL | PISAREAD | GIRL | MEANSCORE | A | 2000 | 525.000 | NA |
| BEL | PISAREAD | GIRL | MEANSCORE | A | 2003 | 526.000 | NA |
| BEL | PISAREAD | GIRL | MEANSCORE | A | 2006 | 522.000 | NA |
| BEL | PISAREAD | GIRL | MEANSCORE | A | 2009 | 520.000 | NA |
| BEL | PISAREAD | GIRL | MEANSCORE | A | 2012 | 524.602 | NA |
| BEL | PISAREAD | GIRL | MEANSCORE | A | 2015 | 507.000 | NA |
| BEL | PISAREAD | GIRL | MEANSCORE | A | 2018 | 504.000 | NA |
| CAN | PISAREAD | BOY | MEANSCORE | A | 2000 | 519.000 | NA |
| CAN | PISAREAD | BOY | MEANSCORE | A | 2003 | 514.000 | NA |
| CAN | PISAREAD | BOY | MEANSCORE | A | 2006 | 511.000 | NA |
| CAN | PISAREAD | BOY | MEANSCORE | A | 2009 | 507.000 | NA |
| CAN | PISAREAD | BOY | MEANSCORE | A | 2012 | 505.512 | NA |
| CAN | PISAREAD | BOY | MEANSCORE | A | 2015 | 514.000 | NA |
| CAN | PISAREAD | BOY | MEANSCORE | A | 2018 | 506.000 | NA |
| CAN | PISAREAD | GIRL | MEANSCORE | A | 2000 | 551.000 | NA |
| CAN | PISAREAD | GIRL | MEANSCORE | A | 2003 | 546.000 | NA |
| CAN | PISAREAD | GIRL | MEANSCORE | A | 2006 | 543.000 | NA |
| CAN | PISAREAD | GIRL | MEANSCORE | A | 2009 | 542.000 | NA |
| CAN | PISAREAD | GIRL | MEANSCORE | A | 2012 | 540.657 | NA |
| CAN | PISAREAD | GIRL | MEANSCORE | A | 2015 | 540.000 | NA |
| CAN | PISAREAD | GIRL | MEANSCORE | A | 2018 | 535.000 | NA |
| CZE | PISAREAD | BOY | MEANSCORE | A | 2000 | 473.000 | NA |
| CZE | PISAREAD | BOY | MEANSCORE | A | 2003 | 473.000 | NA |
| CZE | PISAREAD | BOY | MEANSCORE | A | 2006 | 463.000 | NA |
| CZE | PISAREAD | BOY | MEANSCORE | A | 2009 | 456.000 | NA |
| CZE | PISAREAD | BOY | MEANSCORE | A | 2012 | 473.983 | NA |
| CZE | PISAREAD | BOY | MEANSCORE | A | 2015 | 475.000 | NA |
| CZE | PISAREAD | BOY | MEANSCORE | A | 2018 | 474.000 | NA |
| CZE | PISAREAD | GIRL | MEANSCORE | A | 2000 | 510.000 | NA |
| CZE | PISAREAD | GIRL | MEANSCORE | A | 2003 | 504.000 | NA |
| CZE | PISAREAD | GIRL | MEANSCORE | A | 2006 | 509.000 | NA |
| CZE | PISAREAD | GIRL | MEANSCORE | A | 2009 | 504.000 | NA |
| CZE | PISAREAD | GIRL | MEANSCORE | A | 2012 | 512.790 | NA |
| CZE | PISAREAD | GIRL | MEANSCORE | A | 2015 | 501.000 | NA |
| CZE | PISAREAD | GIRL | MEANSCORE | A | 2018 | 507.000 | NA |
| DNK | PISAREAD | BOY | MEANSCORE | A | 2000 | 485.000 | NA |
| DNK | PISAREAD | BOY | MEANSCORE | A | 2003 | 479.000 | NA |
| DNK | PISAREAD | BOY | MEANSCORE | A | 2006 | 480.000 | NA |
| DNK | PISAREAD | BOY | MEANSCORE | A | 2009 | 480.000 | NA |
| DNK | PISAREAD | BOY | MEANSCORE | A | 2012 | 480.890 | NA |
| DNK | PISAREAD | BOY | MEANSCORE | A | 2015 | 489.000 | NA |
| DNK | PISAREAD | BOY | MEANSCORE | A | 2018 | 486.000 | NA |
| DNK | PISAREAD | GIRL | MEANSCORE | A | 2000 | 510.000 | NA |
| DNK | PISAREAD | GIRL | MEANSCORE | A | 2003 | 505.000 | NA |
| DNK | PISAREAD | GIRL | MEANSCORE | A | 2006 | 509.000 | NA |
| DNK | PISAREAD | GIRL | MEANSCORE | A | 2009 | 509.000 | NA |
| DNK | PISAREAD | GIRL | MEANSCORE | A | 2012 | 511.529 | NA |
| DNK | PISAREAD | GIRL | MEANSCORE | A | 2015 | 511.000 | NA |
| DNK | PISAREAD | GIRL | MEANSCORE | A | 2018 | 516.000 | NA |
| FIN | PISAREAD | BOY | MEANSCORE | A | 2000 | 520.000 | NA |
| FIN | PISAREAD | BOY | MEANSCORE | A | 2003 | 521.000 | NA |
| FIN | PISAREAD | BOY | MEANSCORE | A | 2006 | 521.000 | NA |
| FIN | PISAREAD | BOY | MEANSCORE | A | 2009 | 508.000 | NA |
| FIN | PISAREAD | BOY | MEANSCORE | A | 2012 | 494.006 | NA |
| FIN | PISAREAD | BOY | MEANSCORE | A | 2015 | 504.000 | NA |
| FIN | PISAREAD | BOY | MEANSCORE | A | 2018 | 495.000 | NA |
| FIN | PISAREAD | GIRL | MEANSCORE | A | 2000 | 571.000 | NA |
| FIN | PISAREAD | GIRL | MEANSCORE | A | 2003 | 565.000 | NA |
| FIN | PISAREAD | GIRL | MEANSCORE | A | 2006 | 572.000 | NA |
| FIN | PISAREAD | GIRL | MEANSCORE | A | 2009 | 563.000 | NA |
| FIN | PISAREAD | GIRL | MEANSCORE | A | 2012 | 555.708 | NA |
| FIN | PISAREAD | GIRL | MEANSCORE | A | 2015 | 551.000 | NA |
| FIN | PISAREAD | GIRL | MEANSCORE | A | 2018 | 546.000 | NA |
| FRA | PISAREAD | BOY | MEANSCORE | A | 2000 | 490.000 | NA |
| FRA | PISAREAD | BOY | MEANSCORE | A | 2003 | 476.000 | NA |
| FRA | PISAREAD | BOY | MEANSCORE | A | 2006 | 470.000 | NA |
| FRA | PISAREAD | BOY | MEANSCORE | A | 2009 | 475.000 | NA |
| FRA | PISAREAD | BOY | MEANSCORE | A | 2012 | 482.972 | NA |
| FRA | PISAREAD | BOY | MEANSCORE | A | 2015 | 485.000 | NA |
| FRA | PISAREAD | BOY | MEANSCORE | A | 2018 | 480.000 | NA |
| FRA | PISAREAD | GIRL | MEANSCORE | A | 2000 | 519.000 | NA |
| FRA | PISAREAD | GIRL | MEANSCORE | A | 2003 | 514.000 | NA |
| FRA | PISAREAD | GIRL | MEANSCORE | A | 2006 | 505.000 | NA |
| FRA | PISAREAD | GIRL | MEANSCORE | A | 2009 | 515.000 | NA |
| FRA | PISAREAD | GIRL | MEANSCORE | A | 2012 | 526.765 | NA |
| FRA | PISAREAD | GIRL | MEANSCORE | A | 2015 | 514.000 | NA |
| FRA | PISAREAD | GIRL | MEANSCORE | A | 2018 | 505.000 | NA |
| DEU | PISAREAD | BOY | MEANSCORE | A | 2000 | 468.000 | NA |
| DEU | PISAREAD | BOY | MEANSCORE | A | 2003 | 471.000 | NA |
| DEU | PISAREAD | BOY | MEANSCORE | A | 2006 | 475.000 | NA |
| DEU | PISAREAD | BOY | MEANSCORE | A | 2009 | 478.000 | NA |
| DEU | PISAREAD | BOY | MEANSCORE | A | 2012 | 486.000 | NA |
| DEU | PISAREAD | BOY | MEANSCORE | A | 2015 | 499.000 | NA |
| DEU | PISAREAD | BOY | MEANSCORE | A | 2018 | 486.000 | NA |
| DEU | PISAREAD | GIRL | MEANSCORE | A | 2000 | 502.000 | NA |
| DEU | PISAREAD | GIRL | MEANSCORE | A | 2003 | 513.000 | NA |
| DEU | PISAREAD | GIRL | MEANSCORE | A | 2006 | 517.000 | NA |
| DEU | PISAREAD | GIRL | MEANSCORE | A | 2009 | 518.000 | NA |
| DEU | PISAREAD | GIRL | MEANSCORE | A | 2012 | 530.119 | NA |
| DEU | PISAREAD | GIRL | MEANSCORE | A | 2015 | 520.000 | NA |
| DEU | PISAREAD | GIRL | MEANSCORE | A | 2018 | 512.000 | NA |
| GRC | PISAREAD | BOY | MEANSCORE | A | 2000 | 456.000 | NA |
| GRC | PISAREAD | BOY | MEANSCORE | A | 2003 | 453.000 | NA |
| GRC | PISAREAD | BOY | MEANSCORE | A | 2006 | 432.000 | NA |
| GRC | PISAREAD | BOY | MEANSCORE | A | 2009 | 459.000 | NA |
| GRC | PISAREAD | BOY | MEANSCORE | A | 2012 | 451.718 | NA |
| GRC | PISAREAD | BOY | MEANSCORE | A | 2015 | 449.000 | NA |
| GRC | PISAREAD | BOY | MEANSCORE | A | 2018 | 437.000 | NA |
| GRC | PISAREAD | GIRL | MEANSCORE | A | 2000 | 493.000 | NA |
| GRC | PISAREAD | GIRL | MEANSCORE | A | 2003 | 490.000 | NA |
| GRC | PISAREAD | GIRL | MEANSCORE | A | 2006 | 488.000 | NA |
| GRC | PISAREAD | GIRL | MEANSCORE | A | 2009 | 506.000 | NA |
| GRC | PISAREAD | GIRL | MEANSCORE | A | 2012 | 502.198 | NA |
| GRC | PISAREAD | GIRL | MEANSCORE | A | 2015 | 486.000 | NA |
| GRC | PISAREAD | GIRL | MEANSCORE | A | 2018 | 479.000 | NA |
| HUN | PISAREAD | BOY | MEANSCORE | A | 2000 | 465.000 | NA |
| HUN | PISAREAD | BOY | MEANSCORE | A | 2003 | 467.000 | NA |
| HUN | PISAREAD | BOY | MEANSCORE | A | 2006 | 463.000 | NA |
| HUN | PISAREAD | BOY | MEANSCORE | A | 2009 | 475.000 | NA |
| HUN | PISAREAD | BOY | MEANSCORE | A | 2012 | 467.964 | NA |
| HUN | PISAREAD | BOY | MEANSCORE | A | 2015 | 457.000 | NA |
| HUN | PISAREAD | BOY | MEANSCORE | A | 2018 | 463.000 | NA |
| HUN | PISAREAD | GIRL | MEANSCORE | A | 2000 | 496.000 | NA |
| HUN | PISAREAD | GIRL | MEANSCORE | A | 2003 | 498.000 | NA |
| HUN | PISAREAD | GIRL | MEANSCORE | A | 2006 | 503.000 | NA |
| HUN | PISAREAD | GIRL | MEANSCORE | A | 2009 | 513.000 | NA |
| HUN | PISAREAD | GIRL | MEANSCORE | A | 2012 | 507.549 | NA |
| HUN | PISAREAD | GIRL | MEANSCORE | A | 2015 | 482.000 | NA |
| HUN | PISAREAD | GIRL | MEANSCORE | A | 2018 | 489.000 | NA |
| ISL | PISAREAD | BOY | MEANSCORE | A | 2000 | 488.000 | NA |
| ISL | PISAREAD | BOY | MEANSCORE | A | 2003 | 464.000 | NA |
| ISL | PISAREAD | BOY | MEANSCORE | A | 2006 | 460.000 | NA |
| ISL | PISAREAD | BOY | MEANSCORE | A | 2009 | 478.000 | NA |
| ISL | PISAREAD | BOY | MEANSCORE | A | 2012 | 457.275 | NA |
| ISL | PISAREAD | BOY | MEANSCORE | A | 2015 | 460.000 | NA |
| ISL | PISAREAD | BOY | MEANSCORE | A | 2018 | 454.000 | NA |
| ISL | PISAREAD | GIRL | MEANSCORE | A | 2000 | 528.000 | NA |
| ISL | PISAREAD | GIRL | MEANSCORE | A | 2003 | 522.000 | NA |
| ISL | PISAREAD | GIRL | MEANSCORE | A | 2006 | 509.000 | NA |
| ISL | PISAREAD | GIRL | MEANSCORE | A | 2009 | 522.000 | NA |
| ISL | PISAREAD | GIRL | MEANSCORE | A | 2012 | 508.390 | NA |
| ISL | PISAREAD | GIRL | MEANSCORE | A | 2015 | 502.000 | NA |
| ISL | PISAREAD | GIRL | MEANSCORE | A | 2018 | 494.000 | NA |
| IRL | PISAREAD | BOY | MEANSCORE | A | 2000 | 513.000 | NA |
| IRL | PISAREAD | BOY | MEANSCORE | A | 2003 | 501.000 | NA |
| IRL | PISAREAD | BOY | MEANSCORE | A | 2006 | 500.000 | NA |
| IRL | PISAREAD | BOY | MEANSCORE | A | 2009 | 476.000 | NA |
| IRL | PISAREAD | BOY | MEANSCORE | A | 2012 | 509.153 | NA |
| IRL | PISAREAD | BOY | MEANSCORE | A | 2015 | 515.000 | NA |
| IRL | PISAREAD | BOY | MEANSCORE | A | 2018 | 506.000 | NA |
| IRL | PISAREAD | GIRL | MEANSCORE | A | 2000 | 542.000 | NA |
| IRL | PISAREAD | GIRL | MEANSCORE | A | 2003 | 530.000 | NA |
| IRL | PISAREAD | GIRL | MEANSCORE | A | 2006 | 534.000 | NA |
| IRL | PISAREAD | GIRL | MEANSCORE | A | 2009 | 515.000 | NA |
| IRL | PISAREAD | GIRL | MEANSCORE | A | 2012 | 537.669 | NA |
| IRL | PISAREAD | GIRL | MEANSCORE | A | 2015 | 527.000 | NA |
| IRL | PISAREAD | GIRL | MEANSCORE | A | 2018 | 530.000 | NA |
| ITA | PISAREAD | BOY | MEANSCORE | A | 2000 | 469.000 | NA |
| ITA | PISAREAD | BOY | MEANSCORE | A | 2003 | 455.000 | NA |
| ITA | PISAREAD | BOY | MEANSCORE | A | 2006 | 448.000 | NA |
| ITA | PISAREAD | BOY | MEANSCORE | A | 2009 | 464.000 | NA |
| ITA | PISAREAD | BOY | MEANSCORE | A | 2012 | 470.938 | NA |
| ITA | PISAREAD | BOY | MEANSCORE | A | 2015 | 477.000 | NA |
| ITA | PISAREAD | BOY | MEANSCORE | A | 2018 | 464.000 | NA |
| ITA | PISAREAD | GIRL | MEANSCORE | A | 2000 | 507.000 | NA |
| ITA | PISAREAD | GIRL | MEANSCORE | A | 2003 | 495.000 | NA |
| ITA | PISAREAD | GIRL | MEANSCORE | A | 2006 | 489.000 | NA |
| ITA | PISAREAD | GIRL | MEANSCORE | A | 2009 | 510.000 | NA |
| ITA | PISAREAD | GIRL | MEANSCORE | A | 2012 | 509.945 | NA |
| ITA | PISAREAD | GIRL | MEANSCORE | A | 2015 | 493.000 | NA |
| ITA | PISAREAD | GIRL | MEANSCORE | A | 2018 | 489.000 | NA |
| JPN | PISAREAD | BOY | MEANSCORE | A | 2000 | 507.000 | NA |
| JPN | PISAREAD | BOY | MEANSCORE | A | 2003 | 487.000 | NA |
| JPN | PISAREAD | BOY | MEANSCORE | A | 2006 | 483.000 | NA |
| JPN | PISAREAD | BOY | MEANSCORE | A | 2009 | 501.000 | NA |
| JPN | PISAREAD | BOY | MEANSCORE | A | 2012 | 526.618 | NA |
| JPN | PISAREAD | BOY | MEANSCORE | A | 2015 | 509.000 | NA |
| JPN | PISAREAD | BOY | MEANSCORE | A | 2018 | 493.000 | NA |
| JPN | PISAREAD | GIRL | MEANSCORE | A | 2000 | 537.000 | NA |
| JPN | PISAREAD | GIRL | MEANSCORE | A | 2003 | 509.000 | NA |
| JPN | PISAREAD | GIRL | MEANSCORE | A | 2006 | 513.000 | NA |
| JPN | PISAREAD | GIRL | MEANSCORE | A | 2009 | 540.000 | NA |
| JPN | PISAREAD | GIRL | MEANSCORE | A | 2012 | 550.724 | NA |
| JPN | PISAREAD | GIRL | MEANSCORE | A | 2015 | 523.000 | NA |
| JPN | PISAREAD | GIRL | MEANSCORE | A | 2018 | 514.000 | NA |
| KOR | PISAREAD | BOY | MEANSCORE | A | 2000 | 519.000 | NA |
| KOR | PISAREAD | BOY | MEANSCORE | A | 2003 | 525.000 | NA |
| KOR | PISAREAD | BOY | MEANSCORE | A | 2006 | 539.000 | NA |
| KOR | PISAREAD | BOY | MEANSCORE | A | 2009 | 523.000 | NA |
| KOR | PISAREAD | BOY | MEANSCORE | A | 2012 | 524.965 | NA |
| KOR | PISAREAD | BOY | MEANSCORE | A | 2015 | 498.000 | NA |
| KOR | PISAREAD | BOY | MEANSCORE | A | 2018 | 503.000 | NA |
| KOR | PISAREAD | GIRL | MEANSCORE | A | 2000 | 533.000 | NA |
| KOR | PISAREAD | GIRL | MEANSCORE | A | 2003 | 547.000 | NA |
| KOR | PISAREAD | GIRL | MEANSCORE | A | 2006 | 574.000 | NA |
| KOR | PISAREAD | GIRL | MEANSCORE | A | 2009 | 558.000 | NA |
| KOR | PISAREAD | GIRL | MEANSCORE | A | 2012 | 548.207 | NA |
| KOR | PISAREAD | GIRL | MEANSCORE | A | 2015 | 539.000 | NA |
| KOR | PISAREAD | GIRL | MEANSCORE | A | 2018 | 526.000 | NA |
| LUX | PISAREAD | BOY | MEANSCORE | A | 2000 | 429.000 | NA |
| LUX | PISAREAD | BOY | MEANSCORE | A | 2003 | 463.000 | NA |
| LUX | PISAREAD | BOY | MEANSCORE | A | 2006 | 464.000 | NA |
| LUX | PISAREAD | BOY | MEANSCORE | A | 2009 | 453.000 | NA |
| LUX | PISAREAD | BOY | MEANSCORE | A | 2012 | 473.046 | NA |
| LUX | PISAREAD | BOY | MEANSCORE | A | 2015 | 471.000 | NA |
| LUX | PISAREAD | BOY | MEANSCORE | A | 2018 | 456.000 | NA |
| LUX | PISAREAD | GIRL | MEANSCORE | A | 2000 | 456.000 | NA |
| LUX | PISAREAD | GIRL | MEANSCORE | A | 2003 | 496.000 | NA |
| LUX | PISAREAD | GIRL | MEANSCORE | A | 2006 | 495.000 | NA |
| LUX | PISAREAD | GIRL | MEANSCORE | A | 2009 | 492.000 | NA |
| LUX | PISAREAD | GIRL | MEANSCORE | A | 2012 | 503.024 | NA |
| LUX | PISAREAD | GIRL | MEANSCORE | A | 2015 | 492.000 | NA |
| LUX | PISAREAD | GIRL | MEANSCORE | A | 2018 | 485.000 | NA |
| MEX | PISAREAD | BOY | MEANSCORE | A | 2000 | 411.000 | NA |
| MEX | PISAREAD | BOY | MEANSCORE | A | 2003 | 389.000 | NA |
| MEX | PISAREAD | BOY | MEANSCORE | A | 2006 | 393.000 | NA |
| MEX | PISAREAD | BOY | MEANSCORE | A | 2009 | 413.000 | NA |
| MEX | PISAREAD | BOY | MEANSCORE | A | 2012 | 411.365 | NA |
| MEX | PISAREAD | BOY | MEANSCORE | A | 2015 | 416.000 | NA |
| MEX | PISAREAD | BOY | MEANSCORE | A | 2018 | 415.000 | NA |
| MEX | PISAREAD | GIRL | MEANSCORE | A | 2000 | 432.000 | NA |
| MEX | PISAREAD | GIRL | MEANSCORE | A | 2003 | 410.000 | NA |
| MEX | PISAREAD | GIRL | MEANSCORE | A | 2006 | 427.000 | NA |
| MEX | PISAREAD | GIRL | MEANSCORE | A | 2009 | 438.000 | NA |
| MEX | PISAREAD | GIRL | MEANSCORE | A | 2012 | 435.272 | NA |
| MEX | PISAREAD | GIRL | MEANSCORE | A | 2015 | 431.000 | NA |
| MEX | PISAREAD | GIRL | MEANSCORE | A | 2018 | 426.000 | NA |
| NLD | PISAREAD | BOY | MEANSCORE | A | 2003 | 503.000 | NA |
| NLD | PISAREAD | BOY | MEANSCORE | A | 2006 | 495.000 | NA |
| NLD | PISAREAD | BOY | MEANSCORE | A | 2009 | 496.000 | NA |
| NLD | PISAREAD | BOY | MEANSCORE | A | 2012 | 498.317 | NA |
| NLD | PISAREAD | BOY | MEANSCORE | A | 2015 | 491.000 | NA |
| NLD | PISAREAD | BOY | MEANSCORE | A | 2018 | 470.000 | NA |
| NLD | PISAREAD | GIRL | MEANSCORE | A | 2003 | 524.000 | NA |
| NLD | PISAREAD | GIRL | MEANSCORE | A | 2006 | 519.000 | NA |
| NLD | PISAREAD | GIRL | MEANSCORE | A | 2009 | 521.000 | NA |
| NLD | PISAREAD | GIRL | MEANSCORE | A | 2012 | 524.761 | NA |
| NLD | PISAREAD | GIRL | MEANSCORE | A | 2015 | 515.000 | NA |
| NLD | PISAREAD | GIRL | MEANSCORE | A | 2018 | 499.000 | NA |
| NZL | PISAREAD | BOY | MEANSCORE | A | 2000 | 507.000 | NA |
| NZL | PISAREAD | BOY | MEANSCORE | A | 2003 | 508.000 | NA |
| NZL | PISAREAD | BOY | MEANSCORE | A | 2006 | 502.000 | NA |
| NZL | PISAREAD | BOY | MEANSCORE | A | 2009 | 499.000 | NA |
| NZL | PISAREAD | BOY | MEANSCORE | A | 2012 | 495.365 | NA |
| NZL | PISAREAD | BOY | MEANSCORE | A | 2015 | 493.000 | NA |
| NZL | PISAREAD | BOY | MEANSCORE | A | 2018 | 491.000 | NA |
| NZL | PISAREAD | GIRL | MEANSCORE | A | 2000 | 553.000 | NA |
| NZL | PISAREAD | GIRL | MEANSCORE | A | 2003 | 535.000 | NA |
| NZL | PISAREAD | GIRL | MEANSCORE | A | 2006 | 539.000 | NA |
| NZL | PISAREAD | GIRL | MEANSCORE | A | 2009 | 544.000 | NA |
| NZL | PISAREAD | GIRL | MEANSCORE | A | 2012 | 529.765 | NA |
| NZL | PISAREAD | GIRL | MEANSCORE | A | 2015 | 526.000 | NA |
| NZL | PISAREAD | GIRL | MEANSCORE | A | 2018 | 520.000 | NA |
| NOR | PISAREAD | BOY | MEANSCORE | A | 2000 | 486.000 | NA |
| NOR | PISAREAD | BOY | MEANSCORE | A | 2003 | 475.000 | NA |
| NOR | PISAREAD | BOY | MEANSCORE | A | 2006 | 462.000 | NA |
| NOR | PISAREAD | BOY | MEANSCORE | A | 2009 | 480.000 | NA |
| NOR | PISAREAD | BOY | MEANSCORE | A | 2012 | 481.284 | NA |
| NOR | PISAREAD | BOY | MEANSCORE | A | 2015 | 494.000 | NA |
| NOR | PISAREAD | BOY | MEANSCORE | A | 2018 | 476.000 | NA |
| NOR | PISAREAD | GIRL | MEANSCORE | A | 2000 | 529.000 | NA |
| NOR | PISAREAD | GIRL | MEANSCORE | A | 2003 | 525.000 | NA |
| NOR | PISAREAD | GIRL | MEANSCORE | A | 2006 | 508.000 | NA |
| NOR | PISAREAD | GIRL | MEANSCORE | A | 2009 | 527.000 | NA |
| NOR | PISAREAD | GIRL | MEANSCORE | A | 2012 | 527.771 | NA |
| NOR | PISAREAD | GIRL | MEANSCORE | A | 2015 | 533.000 | NA |
| NOR | PISAREAD | GIRL | MEANSCORE | A | 2018 | 523.000 | NA |
| POL | PISAREAD | BOY | MEANSCORE | A | 2000 | 461.000 | NA |
| POL | PISAREAD | BOY | MEANSCORE | A | 2003 | 477.000 | NA |
| POL | PISAREAD | BOY | MEANSCORE | A | 2006 | 487.000 | NA |
| POL | PISAREAD | BOY | MEANSCORE | A | 2009 | 476.000 | NA |
| POL | PISAREAD | BOY | MEANSCORE | A | 2012 | 496.706 | NA |
| POL | PISAREAD | BOY | MEANSCORE | A | 2015 | 491.000 | NA |
| POL | PISAREAD | BOY | MEANSCORE | A | 2018 | 495.000 | NA |
| POL | PISAREAD | GIRL | MEANSCORE | A | 2000 | 497.000 | NA |
| POL | PISAREAD | GIRL | MEANSCORE | A | 2003 | 516.000 | NA |
| POL | PISAREAD | GIRL | MEANSCORE | A | 2006 | 528.000 | NA |
| POL | PISAREAD | GIRL | MEANSCORE | A | 2009 | 525.000 | NA |
| POL | PISAREAD | GIRL | MEANSCORE | A | 2012 | 538.687 | NA |
| POL | PISAREAD | GIRL | MEANSCORE | A | 2015 | 521.000 | NA |
| POL | PISAREAD | GIRL | MEANSCORE | A | 2018 | 528.000 | NA |
| PRT | PISAREAD | BOY | MEANSCORE | A | 2000 | 458.000 | NA |
| PRT | PISAREAD | BOY | MEANSCORE | A | 2003 | 459.000 | NA |
| PRT | PISAREAD | BOY | MEANSCORE | A | 2006 | 455.000 | NA |
| PRT | PISAREAD | BOY | MEANSCORE | A | 2009 | 470.000 | NA |
| PRT | PISAREAD | BOY | MEANSCORE | A | 2012 | 468.390 | NA |
| PRT | PISAREAD | BOY | MEANSCORE | A | 2015 | 490.000 | NA |
| PRT | PISAREAD | BOY | MEANSCORE | A | 2018 | 480.000 | NA |
| PRT | PISAREAD | GIRL | MEANSCORE | A | 2000 | 482.000 | NA |
| PRT | PISAREAD | GIRL | MEANSCORE | A | 2003 | 495.000 | NA |
| PRT | PISAREAD | GIRL | MEANSCORE | A | 2006 | 488.000 | NA |
| PRT | PISAREAD | GIRL | MEANSCORE | A | 2009 | 508.000 | NA |
| PRT | PISAREAD | GIRL | MEANSCORE | A | 2012 | 507.562 | NA |
| PRT | PISAREAD | GIRL | MEANSCORE | A | 2015 | 507.000 | NA |
| PRT | PISAREAD | GIRL | MEANSCORE | A | 2018 | 504.000 | NA |
| SVK | PISAREAD | BOY | MEANSCORE | A | 2003 | 453.000 | NA |
| SVK | PISAREAD | BOY | MEANSCORE | A | 2006 | 446.000 | NA |
| SVK | PISAREAD | BOY | MEANSCORE | A | 2009 | 452.000 | NA |
| SVK | PISAREAD | BOY | MEANSCORE | A | 2012 | 444.081 | NA |
| SVK | PISAREAD | BOY | MEANSCORE | A | 2015 | 435.000 | NA |
| SVK | PISAREAD | BOY | MEANSCORE | A | 2018 | 441.000 | NA |
| SVK | PISAREAD | GIRL | MEANSCORE | A | 2003 | 486.000 | NA |
| SVK | PISAREAD | GIRL | MEANSCORE | A | 2006 | 488.000 | NA |
| SVK | PISAREAD | GIRL | MEANSCORE | A | 2009 | 503.000 | NA |
| SVK | PISAREAD | GIRL | MEANSCORE | A | 2012 | 483.303 | NA |
| SVK | PISAREAD | GIRL | MEANSCORE | A | 2015 | 471.000 | NA |
| SVK | PISAREAD | GIRL | MEANSCORE | A | 2018 | 475.000 | NA |
| ESP | PISAREAD | BOY | MEANSCORE | A | 2000 | 481.000 | NA |
| ESP | PISAREAD | BOY | MEANSCORE | A | 2003 | 461.000 | NA |
| ESP | PISAREAD | BOY | MEANSCORE | A | 2006 | 443.000 | NA |
| ESP | PISAREAD | BOY | MEANSCORE | A | 2009 | 467.000 | NA |
| ESP | PISAREAD | BOY | MEANSCORE | A | 2012 | 473.806 | NA |
| ESP | PISAREAD | BOY | MEANSCORE | A | 2015 | 485.000 | NA |
| ESP | PISAREAD | GIRL | MEANSCORE | A | 2000 | 505.000 | NA |
| ESP | PISAREAD | GIRL | MEANSCORE | A | 2003 | 500.000 | NA |
| ESP | PISAREAD | GIRL | MEANSCORE | A | 2006 | 479.000 | NA |
| ESP | PISAREAD | GIRL | MEANSCORE | A | 2009 | 496.000 | NA |
| ESP | PISAREAD | GIRL | MEANSCORE | A | 2012 | 502.511 | NA |
| ESP | PISAREAD | GIRL | MEANSCORE | A | 2015 | 506.000 | NA |
| SWE | PISAREAD | BOY | MEANSCORE | A | 2000 | 499.000 | NA |
| SWE | PISAREAD | BOY | MEANSCORE | A | 2003 | 496.000 | NA |
| SWE | PISAREAD | BOY | MEANSCORE | A | 2006 | 488.000 | NA |
| SWE | PISAREAD | BOY | MEANSCORE | A | 2009 | 475.000 | NA |
| SWE | PISAREAD | BOY | MEANSCORE | A | 2012 | 457.991 | NA |
| SWE | PISAREAD | BOY | MEANSCORE | A | 2015 | 481.000 | NA |
| SWE | PISAREAD | BOY | MEANSCORE | A | 2018 | 489.000 | NA |
| SWE | PISAREAD | GIRL | MEANSCORE | A | 2000 | 536.000 | NA |
| SWE | PISAREAD | GIRL | MEANSCORE | A | 2003 | 533.000 | NA |
| SWE | PISAREAD | GIRL | MEANSCORE | A | 2006 | 528.000 | NA |
| SWE | PISAREAD | GIRL | MEANSCORE | A | 2009 | 521.000 | NA |
| SWE | PISAREAD | GIRL | MEANSCORE | A | 2012 | 509.135 | NA |
| SWE | PISAREAD | GIRL | MEANSCORE | A | 2015 | 520.000 | NA |
| SWE | PISAREAD | GIRL | MEANSCORE | A | 2018 | 523.000 | NA |
| CHE | PISAREAD | BOY | MEANSCORE | A | 2000 | 480.000 | NA |
| CHE | PISAREAD | BOY | MEANSCORE | A | 2003 | 482.000 | NA |
| CHE | PISAREAD | BOY | MEANSCORE | A | 2006 | 484.000 | NA |
| CHE | PISAREAD | BOY | MEANSCORE | A | 2009 | 481.000 | NA |
| CHE | PISAREAD | BOY | MEANSCORE | A | 2012 | 491.074 | NA |
| CHE | PISAREAD | BOY | MEANSCORE | A | 2015 | 480.000 | NA |
| CHE | PISAREAD | BOY | MEANSCORE | A | 2018 | 469.000 | NA |
| CHE | PISAREAD | GIRL | MEANSCORE | A | 2000 | 510.000 | NA |
| CHE | PISAREAD | GIRL | MEANSCORE | A | 2003 | 517.000 | NA |
| CHE | PISAREAD | GIRL | MEANSCORE | A | 2006 | 515.000 | NA |
| CHE | PISAREAD | GIRL | MEANSCORE | A | 2009 | 520.000 | NA |
| CHE | PISAREAD | GIRL | MEANSCORE | A | 2012 | 527.064 | NA |
| CHE | PISAREAD | GIRL | MEANSCORE | A | 2015 | 505.000 | NA |
| CHE | PISAREAD | GIRL | MEANSCORE | A | 2018 | 500.000 | NA |
| TUR | PISAREAD | BOY | MEANSCORE | A | 2003 | 426.000 | NA |
| TUR | PISAREAD | BOY | MEANSCORE | A | 2006 | 427.000 | NA |
| TUR | PISAREAD | BOY | MEANSCORE | A | 2009 | 443.000 | NA |
| TUR | PISAREAD | BOY | MEANSCORE | A | 2012 | 452.843 | NA |
| TUR | PISAREAD | BOY | MEANSCORE | A | 2015 | 414.000 | NA |
| TUR | PISAREAD | BOY | MEANSCORE | A | 2018 | 453.000 | NA |
| TUR | PISAREAD | GIRL | MEANSCORE | A | 2003 | 459.000 | NA |
| TUR | PISAREAD | GIRL | MEANSCORE | A | 2006 | 471.000 | NA |
| TUR | PISAREAD | GIRL | MEANSCORE | A | 2009 | 486.000 | NA |
| TUR | PISAREAD | GIRL | MEANSCORE | A | 2012 | 498.640 | NA |
| TUR | PISAREAD | GIRL | MEANSCORE | A | 2015 | 442.000 | NA |
| TUR | PISAREAD | GIRL | MEANSCORE | A | 2018 | 478.000 | NA |
| GBR | PISAREAD | BOY | MEANSCORE | A | 2006 | 480.000 | NA |
| GBR | PISAREAD | BOY | MEANSCORE | A | 2009 | 481.000 | NA |
| GBR | PISAREAD | BOY | MEANSCORE | A | 2012 | 486.631 | NA |
| GBR | PISAREAD | BOY | MEANSCORE | A | 2015 | 487.000 | NA |
| GBR | PISAREAD | BOY | MEANSCORE | A | 2018 | 494.000 | NA |
| GBR | PISAREAD | GIRL | MEANSCORE | A | 2006 | 510.000 | NA |
| GBR | PISAREAD | GIRL | MEANSCORE | A | 2009 | 507.000 | NA |
| GBR | PISAREAD | GIRL | MEANSCORE | A | 2012 | 511.534 | NA |
| GBR | PISAREAD | GIRL | MEANSCORE | A | 2015 | 509.000 | NA |
| GBR | PISAREAD | GIRL | MEANSCORE | A | 2018 | 514.000 | NA |
| USA | PISAREAD | BOY | MEANSCORE | A | 2000 | 490.000 | NA |
| USA | PISAREAD | BOY | MEANSCORE | A | 2003 | 479.000 | NA |
| USA | PISAREAD | BOY | MEANSCORE | A | 2009 | 488.000 | NA |
| USA | PISAREAD | BOY | MEANSCORE | A | 2012 | 482.498 | NA |
| USA | PISAREAD | BOY | MEANSCORE | A | 2015 | 487.000 | NA |
| USA | PISAREAD | BOY | MEANSCORE | A | 2018 | 494.000 | NA |
| USA | PISAREAD | GIRL | MEANSCORE | A | 2000 | 518.000 | NA |
| USA | PISAREAD | GIRL | MEANSCORE | A | 2003 | 511.000 | NA |
| USA | PISAREAD | GIRL | MEANSCORE | A | 2009 | 513.000 | NA |
| USA | PISAREAD | GIRL | MEANSCORE | A | 2012 | 513.269 | NA |
| USA | PISAREAD | GIRL | MEANSCORE | A | 2015 | 507.000 | NA |
| USA | PISAREAD | GIRL | MEANSCORE | A | 2018 | 517.000 | NA |
| BRA | PISAREAD | BOY | MEANSCORE | A | 2000 | 388.000 | NA |
| BRA | PISAREAD | BOY | MEANSCORE | A | 2003 | 384.000 | NA |
| BRA | PISAREAD | BOY | MEANSCORE | A | 2006 | 376.000 | NA |
| BRA | PISAREAD | BOY | MEANSCORE | A | 2009 | 397.000 | NA |
| BRA | PISAREAD | BOY | MEANSCORE | A | 2012 | 394.184 | NA |
| BRA | PISAREAD | BOY | MEANSCORE | A | 2015 | 395.000 | NA |
| BRA | PISAREAD | BOY | MEANSCORE | A | 2018 | 400.000 | NA |
| BRA | PISAREAD | GIRL | MEANSCORE | A | 2000 | 404.000 | NA |
| BRA | PISAREAD | GIRL | MEANSCORE | A | 2003 | 419.000 | NA |
| BRA | PISAREAD | GIRL | MEANSCORE | A | 2006 | 408.000 | NA |
| BRA | PISAREAD | GIRL | MEANSCORE | A | 2009 | 425.000 | NA |
| BRA | PISAREAD | GIRL | MEANSCORE | A | 2012 | 424.734 | NA |
| BRA | PISAREAD | GIRL | MEANSCORE | A | 2015 | 419.000 | NA |
| BRA | PISAREAD | GIRL | MEANSCORE | A | 2018 | 426.000 | NA |
| CHL | PISAREAD | BOY | MEANSCORE | A | 2000 | 396.000 | NA |
| CHL | PISAREAD | BOY | MEANSCORE | A | 2006 | 434.000 | NA |
| CHL | PISAREAD | BOY | MEANSCORE | A | 2009 | 439.000 | NA |
| CHL | PISAREAD | BOY | MEANSCORE | A | 2012 | 429.696 | NA |
| CHL | PISAREAD | BOY | MEANSCORE | A | 2015 | 453.000 | NA |
| CHL | PISAREAD | BOY | MEANSCORE | A | 2018 | 442.000 | NA |
| CHL | PISAREAD | GIRL | MEANSCORE | A | 2000 | 421.000 | NA |
| CHL | PISAREAD | GIRL | MEANSCORE | A | 2006 | 451.000 | NA |
| CHL | PISAREAD | GIRL | MEANSCORE | A | 2009 | 461.000 | NA |
| CHL | PISAREAD | GIRL | MEANSCORE | A | 2012 | 452.371 | NA |
| CHL | PISAREAD | GIRL | MEANSCORE | A | 2015 | 465.000 | NA |
| CHL | PISAREAD | GIRL | MEANSCORE | A | 2018 | 462.000 | NA |
| EST | PISAREAD | BOY | MEANSCORE | A | 2006 | 478.000 | NA |
| EST | PISAREAD | BOY | MEANSCORE | A | 2009 | 480.000 | NA |
| EST | PISAREAD | BOY | MEANSCORE | A | 2012 | 494.319 | NA |
| EST | PISAREAD | BOY | MEANSCORE | A | 2015 | 505.000 | NA |
| EST | PISAREAD | BOY | MEANSCORE | A | 2018 | 508.000 | NA |
| EST | PISAREAD | GIRL | MEANSCORE | A | 2006 | 524.000 | NA |
| EST | PISAREAD | GIRL | MEANSCORE | A | 2009 | 524.000 | NA |
| EST | PISAREAD | GIRL | MEANSCORE | A | 2012 | 537.833 | NA |
| EST | PISAREAD | GIRL | MEANSCORE | A | 2015 | 533.000 | NA |
| EST | PISAREAD | GIRL | MEANSCORE | A | 2018 | 538.000 | NA |
| IDN | PISAREAD | BOY | MEANSCORE | A | 2000 | 360.000 | NA |
| IDN | PISAREAD | BOY | MEANSCORE | A | 2003 | 369.000 | NA |
| IDN | PISAREAD | BOY | MEANSCORE | A | 2006 | 384.000 | NA |
| IDN | PISAREAD | BOY | MEANSCORE | A | 2009 | 383.000 | NA |
| IDN | PISAREAD | BOY | MEANSCORE | A | 2012 | 382.254 | NA |
| IDN | PISAREAD | BOY | MEANSCORE | A | 2015 | 386.000 | NA |
| IDN | PISAREAD | BOY | MEANSCORE | A | 2018 | 358.000 | NA |
| IDN | PISAREAD | GIRL | MEANSCORE | A | 2000 | 380.000 | NA |
| IDN | PISAREAD | GIRL | MEANSCORE | A | 2003 | 394.000 | NA |
| IDN | PISAREAD | GIRL | MEANSCORE | A | 2006 | 402.000 | NA |
| IDN | PISAREAD | GIRL | MEANSCORE | A | 2009 | 420.000 | NA |
| IDN | PISAREAD | GIRL | MEANSCORE | A | 2012 | 410.408 | NA |
| IDN | PISAREAD | GIRL | MEANSCORE | A | 2015 | 409.000 | NA |
| IDN | PISAREAD | GIRL | MEANSCORE | A | 2018 | 383.000 | NA |
| ISR | PISAREAD | BOY | MEANSCORE | A | 2000 | 444.000 | NA |
| ISR | PISAREAD | BOY | MEANSCORE | A | 2006 | 417.000 | NA |
| ISR | PISAREAD | BOY | MEANSCORE | A | 2009 | 452.000 | NA |
| ISR | PISAREAD | BOY | MEANSCORE | A | 2012 | 463.460 | NA |
| ISR | PISAREAD | BOY | MEANSCORE | A | 2015 | 467.000 | NA |
| ISR | PISAREAD | BOY | MEANSCORE | A | 2018 | 445.000 | NA |
| ISR | PISAREAD | GIRL | MEANSCORE | A | 2000 | 459.000 | NA |
| ISR | PISAREAD | GIRL | MEANSCORE | A | 2006 | 460.000 | NA |
| ISR | PISAREAD | GIRL | MEANSCORE | A | 2009 | 495.000 | NA |
| ISR | PISAREAD | GIRL | MEANSCORE | A | 2012 | 507.451 | NA |
| ISR | PISAREAD | GIRL | MEANSCORE | A | 2015 | 490.000 | NA |
| ISR | PISAREAD | GIRL | MEANSCORE | A | 2018 | 493.000 | NA |
| RUS | PISAREAD | BOY | MEANSCORE | A | 2000 | 443.000 | NA |
| RUS | PISAREAD | BOY | MEANSCORE | A | 2003 | 428.000 | NA |
| RUS | PISAREAD | BOY | MEANSCORE | A | 2009 | 437.000 | NA |
| RUS | PISAREAD | BOY | MEANSCORE | A | 2012 | 455.147 | NA |
| RUS | PISAREAD | BOY | MEANSCORE | A | 2015 | 481.000 | NA |
| RUS | PISAREAD | BOY | MEANSCORE | A | 2018 | 466.000 | NA |
| RUS | PISAREAD | GIRL | MEANSCORE | A | 2000 | 481.000 | NA |
| RUS | PISAREAD | GIRL | MEANSCORE | A | 2003 | 456.000 | NA |
| RUS | PISAREAD | GIRL | MEANSCORE | A | 2009 | 482.000 | NA |
| RUS | PISAREAD | GIRL | MEANSCORE | A | 2012 | 495.144 | NA |
| RUS | PISAREAD | GIRL | MEANSCORE | A | 2015 | 507.000 | NA |
| RUS | PISAREAD | GIRL | MEANSCORE | A | 2018 | 491.000 | NA |
| SVN | PISAREAD | BOY | MEANSCORE | A | 2006 | 467.000 | NA |
| SVN | PISAREAD | BOY | MEANSCORE | A | 2009 | 456.000 | NA |
| SVN | PISAREAD | BOY | MEANSCORE | A | 2012 | 454.466 | NA |
| SVN | PISAREAD | BOY | MEANSCORE | A | 2015 | 484.000 | NA |
| SVN | PISAREAD | BOY | MEANSCORE | A | 2018 | 475.000 | NA |
| SVN | PISAREAD | GIRL | MEANSCORE | A | 2006 | 521.000 | NA |
| SVN | PISAREAD | GIRL | MEANSCORE | A | 2009 | 511.000 | NA |
| SVN | PISAREAD | GIRL | MEANSCORE | A | 2012 | 510.150 | NA |
| SVN | PISAREAD | GIRL | MEANSCORE | A | 2015 | 528.000 | NA |
| SVN | PISAREAD | GIRL | MEANSCORE | A | 2018 | 517.000 | NA |
| OAVG | PISAREAD | BOY | MEANSCORE | A | 2000 | 479.552 | NA |
| OAVG | PISAREAD | BOY | MEANSCORE | A | 2003 | 477.033 | NA |
| OAVG | PISAREAD | BOY | MEANSCORE | A | 2006 | 470.061 | NA |
| OAVG | PISAREAD | BOY | MEANSCORE | A | 2009 | 474.088 | NA |
| OAVG | PISAREAD | BOY | MEANSCORE | A | 2012 | 477.832 | NA |
| OAVG | PISAREAD | BOY | MEANSCORE | A | 2015 | 479.000 | NA |
| OAVG | PISAREAD | BOY | MEANSCORE | A | 2018 | 472.000 | NA |
| OAVG | PISAREAD | GIRL | MEANSCORE | A | 2000 | 510.828 | NA |
| OAVG | PISAREAD | GIRL | MEANSCORE | A | 2003 | 511.667 | NA |
| OAVG | PISAREAD | GIRL | MEANSCORE | A | 2006 | 508.576 | NA |
| OAVG | PISAREAD | GIRL | MEANSCORE | A | 2009 | 513.235 | NA |
| OAVG | PISAREAD | GIRL | MEANSCORE | A | 2012 | 515.427 | NA |
| OAVG | PISAREAD | GIRL | MEANSCORE | A | 2015 | 506.000 | NA |
| OAVG | PISAREAD | GIRL | MEANSCORE | A | 2018 | 502.000 | NA |
| LVA | PISAREAD | BOY | MEANSCORE | A | 2015 | 467.000 | NA |
| LVA | PISAREAD | BOY | MEANSCORE | A | 2018 | 462.000 | NA |
| LVA | PISAREAD | GIRL | MEANSCORE | A | 2015 | 509.000 | NA |
| LVA | PISAREAD | GIRL | MEANSCORE | A | 2018 | 495.000 | NA |
| AUS | PISAREAD | TOT | MEANSCORE | A | 2000 | 528.000 | NA |
| AUS | PISAREAD | TOT | MEANSCORE | A | 2003 | 525.000 | NA |
| AUS | PISAREAD | TOT | MEANSCORE | A | 2006 | 513.000 | NA |
| AUS | PISAREAD | TOT | MEANSCORE | A | 2009 | 515.000 | NA |
| AUS | PISAREAD | TOT | MEANSCORE | A | 2012 | 512.000 | NA |
| AUS | PISAREAD | TOT | MEANSCORE | A | 2015 | 503.000 | NA |
| AUS | PISAREAD | TOT | MEANSCORE | A | 2018 | 503.000 | NA |
| AUT | PISAREAD | TOT | MEANSCORE | A | 2000 | 492.000 | NA |
| AUT | PISAREAD | TOT | MEANSCORE | A | 2003 | 491.000 | NA |
| AUT | PISAREAD | TOT | MEANSCORE | A | 2006 | 490.000 | NA |
| AUT | PISAREAD | TOT | MEANSCORE | A | 2012 | 490.000 | NA |
| AUT | PISAREAD | TOT | MEANSCORE | A | 2015 | 485.000 | NA |
| AUT | PISAREAD | TOT | MEANSCORE | A | 2018 | 484.000 | NA |
| BEL | PISAREAD | TOT | MEANSCORE | A | 2000 | 507.000 | NA |
| BEL | PISAREAD | TOT | MEANSCORE | A | 2003 | 507.000 | NA |
| BEL | PISAREAD | TOT | MEANSCORE | A | 2006 | 501.000 | NA |
| BEL | PISAREAD | TOT | MEANSCORE | A | 2009 | 506.000 | NA |
| BEL | PISAREAD | TOT | MEANSCORE | A | 2012 | 509.000 | NA |
| BEL | PISAREAD | TOT | MEANSCORE | A | 2015 | 499.000 | NA |
| BEL | PISAREAD | TOT | MEANSCORE | A | 2018 | 493.000 | NA |
| CAN | PISAREAD | TOT | MEANSCORE | A | 2000 | 534.000 | NA |
| CAN | PISAREAD | TOT | MEANSCORE | A | 2003 | 528.000 | NA |
| CAN | PISAREAD | TOT | MEANSCORE | A | 2006 | 527.000 | NA |
| CAN | PISAREAD | TOT | MEANSCORE | A | 2009 | 524.000 | NA |
| CAN | PISAREAD | TOT | MEANSCORE | A | 2012 | 523.000 | NA |
| CAN | PISAREAD | TOT | MEANSCORE | A | 2015 | 527.000 | NA |
| CAN | PISAREAD | TOT | MEANSCORE | A | 2018 | 520.000 | NA |
| CZE | PISAREAD | TOT | MEANSCORE | A | 2000 | 492.000 | NA |
| CZE | PISAREAD | TOT | MEANSCORE | A | 2003 | 489.000 | NA |
| CZE | PISAREAD | TOT | MEANSCORE | A | 2006 | 483.000 | NA |
| CZE | PISAREAD | TOT | MEANSCORE | A | 2009 | 478.000 | NA |
| CZE | PISAREAD | TOT | MEANSCORE | A | 2012 | 493.000 | NA |
| CZE | PISAREAD | TOT | MEANSCORE | A | 2015 | 487.000 | NA |
| CZE | PISAREAD | TOT | MEANSCORE | A | 2018 | 490.000 | NA |
| DNK | PISAREAD | TOT | MEANSCORE | A | 2000 | 497.000 | NA |
| DNK | PISAREAD | TOT | MEANSCORE | A | 2003 | 492.000 | NA |
| DNK | PISAREAD | TOT | MEANSCORE | A | 2006 | 494.000 | NA |
| DNK | PISAREAD | TOT | MEANSCORE | A | 2009 | 495.000 | NA |
| DNK | PISAREAD | TOT | MEANSCORE | A | 2012 | 496.000 | NA |
| DNK | PISAREAD | TOT | MEANSCORE | A | 2015 | 500.000 | NA |
| DNK | PISAREAD | TOT | MEANSCORE | A | 2018 | 501.000 | NA |
| FIN | PISAREAD | TOT | MEANSCORE | A | 2000 | 546.000 | NA |
| FIN | PISAREAD | TOT | MEANSCORE | A | 2003 | 543.000 | NA |
| FIN | PISAREAD | TOT | MEANSCORE | A | 2006 | 547.000 | NA |
| FIN | PISAREAD | TOT | MEANSCORE | A | 2009 | 536.000 | NA |
| FIN | PISAREAD | TOT | MEANSCORE | A | 2012 | 524.000 | NA |
| FIN | PISAREAD | TOT | MEANSCORE | A | 2015 | 526.000 | NA |
| FIN | PISAREAD | TOT | MEANSCORE | A | 2018 | 520.000 | NA |
| FRA | PISAREAD | TOT | MEANSCORE | A | 2000 | 505.000 | NA |
| FRA | PISAREAD | TOT | MEANSCORE | A | 2003 | 496.000 | NA |
| FRA | PISAREAD | TOT | MEANSCORE | A | 2006 | 488.000 | NA |
| FRA | PISAREAD | TOT | MEANSCORE | A | 2009 | 496.000 | NA |
| FRA | PISAREAD | TOT | MEANSCORE | A | 2012 | 505.000 | NA |
| FRA | PISAREAD | TOT | MEANSCORE | A | 2015 | 499.000 | NA |
| FRA | PISAREAD | TOT | MEANSCORE | A | 2018 | 493.000 | NA |
| DEU | PISAREAD | TOT | MEANSCORE | A | 2000 | 484.000 | NA |
| DEU | PISAREAD | TOT | MEANSCORE | A | 2003 | 491.000 | NA |
| DEU | PISAREAD | TOT | MEANSCORE | A | 2006 | 495.000 | NA |
| DEU | PISAREAD | TOT | MEANSCORE | A | 2009 | 497.000 | NA |
| DEU | PISAREAD | TOT | MEANSCORE | A | 2012 | 508.000 | NA |
| DEU | PISAREAD | TOT | MEANSCORE | A | 2015 | 509.000 | NA |
| DEU | PISAREAD | TOT | MEANSCORE | A | 2018 | 498.000 | NA |
| GRC | PISAREAD | TOT | MEANSCORE | A | 2000 | 474.000 | NA |
| GRC | PISAREAD | TOT | MEANSCORE | A | 2003 | 472.000 | NA |
| GRC | PISAREAD | TOT | MEANSCORE | A | 2006 | 460.000 | NA |
| GRC | PISAREAD | TOT | MEANSCORE | A | 2009 | 483.000 | NA |
| GRC | PISAREAD | TOT | MEANSCORE | A | 2012 | 477.000 | NA |
| GRC | PISAREAD | TOT | MEANSCORE | A | 2015 | 467.000 | NA |
| GRC | PISAREAD | TOT | MEANSCORE | A | 2018 | 457.000 | NA |
| HUN | PISAREAD | TOT | MEANSCORE | A | 2000 | 480.000 | NA |
| HUN | PISAREAD | TOT | MEANSCORE | A | 2003 | 482.000 | NA |
| HUN | PISAREAD | TOT | MEANSCORE | A | 2006 | 482.000 | NA |
| HUN | PISAREAD | TOT | MEANSCORE | A | 2009 | 494.000 | NA |
| HUN | PISAREAD | TOT | MEANSCORE | A | 2012 | 488.000 | NA |
| HUN | PISAREAD | TOT | MEANSCORE | A | 2015 | 470.000 | NA |
| HUN | PISAREAD | TOT | MEANSCORE | A | 2018 | 476.000 | NA |
| ISL | PISAREAD | TOT | MEANSCORE | A | 2000 | 507.000 | NA |
| ISL | PISAREAD | TOT | MEANSCORE | A | 2003 | 492.000 | NA |
| ISL | PISAREAD | TOT | MEANSCORE | A | 2006 | 484.000 | NA |
| ISL | PISAREAD | TOT | MEANSCORE | A | 2009 | 500.000 | NA |
| ISL | PISAREAD | TOT | MEANSCORE | A | 2012 | 483.000 | NA |
| ISL | PISAREAD | TOT | MEANSCORE | A | 2015 | 482.000 | NA |
| ISL | PISAREAD | TOT | MEANSCORE | A | 2018 | 474.000 | NA |
| IRL | PISAREAD | TOT | MEANSCORE | A | 2000 | 527.000 | NA |
| IRL | PISAREAD | TOT | MEANSCORE | A | 2003 | 515.000 | NA |
| IRL | PISAREAD | TOT | MEANSCORE | A | 2006 | 517.000 | NA |
| IRL | PISAREAD | TOT | MEANSCORE | A | 2009 | 496.000 | NA |
| IRL | PISAREAD | TOT | MEANSCORE | A | 2012 | 523.000 | NA |
| IRL | PISAREAD | TOT | MEANSCORE | A | 2015 | 521.000 | NA |
| IRL | PISAREAD | TOT | MEANSCORE | A | 2018 | 518.000 | NA |
| ITA | PISAREAD | TOT | MEANSCORE | A | 2000 | 487.000 | NA |
| ITA | PISAREAD | TOT | MEANSCORE | A | 2003 | 476.000 | NA |
| ITA | PISAREAD | TOT | MEANSCORE | A | 2006 | 469.000 | NA |
| ITA | PISAREAD | TOT | MEANSCORE | A | 2009 | 486.000 | NA |
| ITA | PISAREAD | TOT | MEANSCORE | A | 2012 | 490.000 | NA |
| ITA | PISAREAD | TOT | MEANSCORE | A | 2015 | 485.000 | NA |
| ITA | PISAREAD | TOT | MEANSCORE | A | 2018 | 476.000 | NA |
| JPN | PISAREAD | TOT | MEANSCORE | A | 2000 | 522.000 | NA |
| JPN | PISAREAD | TOT | MEANSCORE | A | 2003 | 498.000 | NA |
| JPN | PISAREAD | TOT | MEANSCORE | A | 2006 | 498.000 | NA |
| JPN | PISAREAD | TOT | MEANSCORE | A | 2009 | 520.000 | NA |
| JPN | PISAREAD | TOT | MEANSCORE | A | 2012 | 538.000 | NA |
| JPN | PISAREAD | TOT | MEANSCORE | A | 2015 | 516.000 | NA |
| JPN | PISAREAD | TOT | MEANSCORE | A | 2018 | 504.000 | NA |
| KOR | PISAREAD | TOT | MEANSCORE | A | 2000 | 525.000 | NA |
| KOR | PISAREAD | TOT | MEANSCORE | A | 2003 | 534.000 | NA |
| KOR | PISAREAD | TOT | MEANSCORE | A | 2006 | 556.000 | NA |
| KOR | PISAREAD | TOT | MEANSCORE | A | 2009 | 539.000 | NA |
| KOR | PISAREAD | TOT | MEANSCORE | A | 2012 | 536.000 | NA |
| KOR | PISAREAD | TOT | MEANSCORE | A | 2015 | 517.000 | NA |
| KOR | PISAREAD | TOT | MEANSCORE | A | 2018 | 514.000 | NA |
| LUX | PISAREAD | TOT | MEANSCORE | A | 2003 | 479.000 | NA |
| LUX | PISAREAD | TOT | MEANSCORE | A | 2006 | 479.000 | NA |
| LUX | PISAREAD | TOT | MEANSCORE | A | 2009 | 472.000 | NA |
| LUX | PISAREAD | TOT | MEANSCORE | A | 2012 | 488.000 | NA |
| LUX | PISAREAD | TOT | MEANSCORE | A | 2015 | 481.000 | NA |
| LUX | PISAREAD | TOT | MEANSCORE | A | 2018 | 470.000 | NA |
| MEX | PISAREAD | TOT | MEANSCORE | A | 2000 | 422.000 | NA |
| MEX | PISAREAD | TOT | MEANSCORE | A | 2003 | 400.000 | NA |
| MEX | PISAREAD | TOT | MEANSCORE | A | 2006 | 410.000 | NA |
| MEX | PISAREAD | TOT | MEANSCORE | A | 2009 | 425.000 | NA |
| MEX | PISAREAD | TOT | MEANSCORE | A | 2012 | 424.000 | NA |
| MEX | PISAREAD | TOT | MEANSCORE | A | 2015 | 423.000 | NA |
| MEX | PISAREAD | TOT | MEANSCORE | A | 2018 | 420.000 | NA |
| NLD | PISAREAD | TOT | MEANSCORE | A | 2003 | 513.000 | NA |
| NLD | PISAREAD | TOT | MEANSCORE | A | 2006 | 507.000 | NA |
| NLD | PISAREAD | TOT | MEANSCORE | A | 2009 | 508.000 | NA |
| NLD | PISAREAD | TOT | MEANSCORE | A | 2012 | 511.000 | NA |
| NLD | PISAREAD | TOT | MEANSCORE | A | 2015 | 503.000 | NA |
| NLD | PISAREAD | TOT | MEANSCORE | A | 2018 | 485.000 | NA |
| NZL | PISAREAD | TOT | MEANSCORE | A | 2000 | 529.000 | NA |
| NZL | PISAREAD | TOT | MEANSCORE | A | 2003 | 522.000 | NA |
| NZL | PISAREAD | TOT | MEANSCORE | A | 2006 | 521.000 | NA |
| NZL | PISAREAD | TOT | MEANSCORE | A | 2009 | 521.000 | NA |
| NZL | PISAREAD | TOT | MEANSCORE | A | 2012 | 512.000 | NA |
| NZL | PISAREAD | TOT | MEANSCORE | A | 2015 | 509.000 | NA |
| NZL | PISAREAD | TOT | MEANSCORE | A | 2018 | 506.000 | NA |
| NOR | PISAREAD | TOT | MEANSCORE | A | 2000 | 505.000 | NA |
| NOR | PISAREAD | TOT | MEANSCORE | A | 2003 | 500.000 | NA |
| NOR | PISAREAD | TOT | MEANSCORE | A | 2006 | 484.000 | NA |
| NOR | PISAREAD | TOT | MEANSCORE | A | 2009 | 503.000 | NA |
| NOR | PISAREAD | TOT | MEANSCORE | A | 2012 | 504.000 | NA |
| NOR | PISAREAD | TOT | MEANSCORE | A | 2015 | 513.000 | NA |
| NOR | PISAREAD | TOT | MEANSCORE | A | 2018 | 499.000 | NA |
| POL | PISAREAD | TOT | MEANSCORE | A | 2000 | 479.000 | NA |
| POL | PISAREAD | TOT | MEANSCORE | A | 2003 | 497.000 | NA |
| POL | PISAREAD | TOT | MEANSCORE | A | 2006 | 508.000 | NA |
| POL | PISAREAD | TOT | MEANSCORE | A | 2009 | 500.000 | NA |
| POL | PISAREAD | TOT | MEANSCORE | A | 2012 | 518.000 | NA |
| POL | PISAREAD | TOT | MEANSCORE | A | 2015 | 506.000 | NA |
| POL | PISAREAD | TOT | MEANSCORE | A | 2018 | 512.000 | NA |
| PRT | PISAREAD | TOT | MEANSCORE | A | 2000 | 470.000 | NA |
| PRT | PISAREAD | TOT | MEANSCORE | A | 2003 | 478.000 | NA |
| PRT | PISAREAD | TOT | MEANSCORE | A | 2006 | 472.000 | NA |
| PRT | PISAREAD | TOT | MEANSCORE | A | 2009 | 489.000 | NA |
| PRT | PISAREAD | TOT | MEANSCORE | A | 2012 | 488.000 | NA |
| PRT | PISAREAD | TOT | MEANSCORE | A | 2015 | 498.000 | NA |
| PRT | PISAREAD | TOT | MEANSCORE | A | 2018 | 492.000 | NA |
| SVK | PISAREAD | TOT | MEANSCORE | A | 2003 | 469.000 | NA |
| SVK | PISAREAD | TOT | MEANSCORE | A | 2006 | 466.000 | NA |
| SVK | PISAREAD | TOT | MEANSCORE | A | 2009 | 477.000 | NA |
| SVK | PISAREAD | TOT | MEANSCORE | A | 2012 | 463.000 | NA |
| SVK | PISAREAD | TOT | MEANSCORE | A | 2015 | 453.000 | NA |
| SVK | PISAREAD | TOT | MEANSCORE | A | 2018 | 458.000 | NA |
| ESP | PISAREAD | TOT | MEANSCORE | A | 2000 | 493.000 | NA |
| ESP | PISAREAD | TOT | MEANSCORE | A | 2003 | 481.000 | NA |
| ESP | PISAREAD | TOT | MEANSCORE | A | 2006 | 461.000 | NA |
| ESP | PISAREAD | TOT | MEANSCORE | A | 2009 | 481.000 | NA |
| ESP | PISAREAD | TOT | MEANSCORE | A | 2012 | 488.000 | NA |
| ESP | PISAREAD | TOT | MEANSCORE | A | 2015 | 496.000 | NA |
| SWE | PISAREAD | TOT | MEANSCORE | A | 2000 | 516.000 | NA |
| SWE | PISAREAD | TOT | MEANSCORE | A | 2003 | 514.000 | NA |
| SWE | PISAREAD | TOT | MEANSCORE | A | 2006 | 507.000 | NA |
| SWE | PISAREAD | TOT | MEANSCORE | A | 2009 | 497.000 | NA |
| SWE | PISAREAD | TOT | MEANSCORE | A | 2012 | 483.000 | NA |
| SWE | PISAREAD | TOT | MEANSCORE | A | 2015 | 500.000 | NA |
| SWE | PISAREAD | TOT | MEANSCORE | A | 2018 | 506.000 | NA |
| CHE | PISAREAD | TOT | MEANSCORE | A | 2000 | 494.000 | NA |
| CHE | PISAREAD | TOT | MEANSCORE | A | 2003 | 499.000 | NA |
| CHE | PISAREAD | TOT | MEANSCORE | A | 2006 | 499.000 | NA |
| CHE | PISAREAD | TOT | MEANSCORE | A | 2009 | 501.000 | NA |
| CHE | PISAREAD | TOT | MEANSCORE | A | 2012 | 509.000 | NA |
| CHE | PISAREAD | TOT | MEANSCORE | A | 2015 | 492.000 | NA |
| CHE | PISAREAD | TOT | MEANSCORE | A | 2018 | 484.000 | NA |
| TUR | PISAREAD | TOT | MEANSCORE | A | 2003 | 441.000 | NA |
| TUR | PISAREAD | TOT | MEANSCORE | A | 2006 | 447.000 | NA |
| TUR | PISAREAD | TOT | MEANSCORE | A | 2009 | 464.000 | NA |
| TUR | PISAREAD | TOT | MEANSCORE | A | 2012 | 475.000 | NA |
| TUR | PISAREAD | TOT | MEANSCORE | A | 2015 | 428.000 | NA |
| TUR | PISAREAD | TOT | MEANSCORE | A | 2018 | 466.000 | NA |
| GBR | PISAREAD | TOT | MEANSCORE | A | 2006 | 495.000 | NA |
| GBR | PISAREAD | TOT | MEANSCORE | A | 2009 | 494.000 | NA |
| GBR | PISAREAD | TOT | MEANSCORE | A | 2012 | 499.000 | NA |
| GBR | PISAREAD | TOT | MEANSCORE | A | 2015 | 498.000 | NA |
| GBR | PISAREAD | TOT | MEANSCORE | A | 2018 | 504.000 | NA |
| USA | PISAREAD | TOT | MEANSCORE | A | 2000 | 504.000 | NA |
| USA | PISAREAD | TOT | MEANSCORE | A | 2003 | 495.000 | NA |
| USA | PISAREAD | TOT | MEANSCORE | A | 2009 | 500.000 | NA |
| USA | PISAREAD | TOT | MEANSCORE | A | 2012 | 498.000 | NA |
| USA | PISAREAD | TOT | MEANSCORE | A | 2015 | 497.000 | NA |
| USA | PISAREAD | TOT | MEANSCORE | A | 2018 | 505.000 | NA |
| BRA | PISAREAD | TOT | MEANSCORE | A | 2000 | 396.000 | NA |
| BRA | PISAREAD | TOT | MEANSCORE | A | 2003 | 403.000 | NA |
| BRA | PISAREAD | TOT | MEANSCORE | A | 2006 | 393.000 | NA |
| BRA | PISAREAD | TOT | MEANSCORE | A | 2009 | 412.000 | NA |
| BRA | PISAREAD | TOT | MEANSCORE | A | 2012 | 407.000 | NA |
| BRA | PISAREAD | TOT | MEANSCORE | A | 2015 | 407.000 | NA |
| BRA | PISAREAD | TOT | MEANSCORE | A | 2018 | 413.000 | NA |
| CHL | PISAREAD | TOT | MEANSCORE | A | 2000 | 410.000 | NA |
| CHL | PISAREAD | TOT | MEANSCORE | A | 2006 | 442.000 | NA |
| CHL | PISAREAD | TOT | MEANSCORE | A | 2009 | 449.000 | NA |
| CHL | PISAREAD | TOT | MEANSCORE | A | 2012 | 441.000 | NA |
| CHL | PISAREAD | TOT | MEANSCORE | A | 2015 | 459.000 | NA |
| CHL | PISAREAD | TOT | MEANSCORE | A | 2018 | 452.000 | NA |
| EST | PISAREAD | TOT | MEANSCORE | A | 2006 | 501.000 | NA |
| EST | PISAREAD | TOT | MEANSCORE | A | 2009 | 501.000 | NA |
| EST | PISAREAD | TOT | MEANSCORE | A | 2012 | 516.000 | NA |
| EST | PISAREAD | TOT | MEANSCORE | A | 2015 | 519.000 | NA |
| EST | PISAREAD | TOT | MEANSCORE | A | 2018 | 523.000 | NA |
| IDN | PISAREAD | TOT | MEANSCORE | A | 2000 | 371.000 | NA |
| IDN | PISAREAD | TOT | MEANSCORE | A | 2003 | 382.000 | NA |
| IDN | PISAREAD | TOT | MEANSCORE | A | 2006 | 393.000 | NA |
| IDN | PISAREAD | TOT | MEANSCORE | A | 2009 | 402.000 | NA |
| IDN | PISAREAD | TOT | MEANSCORE | A | 2012 | 396.000 | NA |
| IDN | PISAREAD | TOT | MEANSCORE | A | 2015 | 397.000 | NA |
| IDN | PISAREAD | TOT | MEANSCORE | A | 2018 | 371.000 | NA |
| ISR | PISAREAD | TOT | MEANSCORE | A | 2000 | 452.000 | NA |
| ISR | PISAREAD | TOT | MEANSCORE | A | 2006 | 439.000 | NA |
| ISR | PISAREAD | TOT | MEANSCORE | A | 2009 | 474.000 | NA |
| ISR | PISAREAD | TOT | MEANSCORE | A | 2012 | 486.000 | NA |
| ISR | PISAREAD | TOT | MEANSCORE | A | 2015 | 479.000 | NA |
| ISR | PISAREAD | TOT | MEANSCORE | A | 2018 | 470.000 | NA |
| LVA | PISAREAD | TOT | MEANSCORE | A | 2000 | 458.000 | NA |
| LVA | PISAREAD | TOT | MEANSCORE | A | 2003 | 491.000 | NA |
| LVA | PISAREAD | TOT | MEANSCORE | A | 2006 | 479.000 | NA |
| LVA | PISAREAD | TOT | MEANSCORE | A | 2009 | 484.000 | NA |
| LVA | PISAREAD | TOT | MEANSCORE | A | 2012 | 489.000 | NA |
| LVA | PISAREAD | TOT | MEANSCORE | A | 2015 | 488.000 | NA |
| LVA | PISAREAD | TOT | MEANSCORE | A | 2018 | 479.000 | NA |
| RUS | PISAREAD | TOT | MEANSCORE | A | 2000 | 462.000 | NA |
| RUS | PISAREAD | TOT | MEANSCORE | A | 2003 | 442.000 | NA |
| RUS | PISAREAD | TOT | MEANSCORE | A | 2006 | 440.000 | NA |
| RUS | PISAREAD | TOT | MEANSCORE | A | 2009 | 459.000 | NA |
| RUS | PISAREAD | TOT | MEANSCORE | A | 2012 | 475.000 | NA |
| RUS | PISAREAD | TOT | MEANSCORE | A | 2015 | 495.000 | NA |
| RUS | PISAREAD | TOT | MEANSCORE | A | 2018 | 479.000 | NA |
| SGP | PISAREAD | BOY | MEANSCORE | A | 2015 | 525.000 | NA |
| SGP | PISAREAD | GIRL | MEANSCORE | A | 2015 | 546.000 | NA |
| SVN | PISAREAD | TOT | MEANSCORE | A | 2006 | 494.000 | NA |
| SVN | PISAREAD | TOT | MEANSCORE | A | 2009 | 483.000 | NA |
| SVN | PISAREAD | TOT | MEANSCORE | A | 2012 | 481.000 | NA |
| SVN | PISAREAD | TOT | MEANSCORE | A | 2015 | 505.000 | NA |
| SVN | PISAREAD | TOT | MEANSCORE | A | 2018 | 495.000 | NA |
| OAVG | PISAREAD | TOT | MEANSCORE | A | 2012 | 496.000 | NA |
| OAVG | PISAREAD | TOT | MEANSCORE | A | 2015 | 493.000 | NA |
| OAVG | PISAREAD | TOT | MEANSCORE | A | 2018 | 487.000 | NA |
| COL | PISAREAD | TOT | MEANSCORE | A | 2015 | 425.000 | NA |
| COL | PISAREAD | TOT | MEANSCORE | A | 2018 | 412.000 | NA |
| COL | PISAREAD | BOY | MEANSCORE | A | 2015 | 417.000 | NA |
| COL | PISAREAD | BOY | MEANSCORE | A | 2018 | 407.000 | NA |
| COL | PISAREAD | GIRL | MEANSCORE | A | 2015 | 432.000 | NA |
| COL | PISAREAD | GIRL | MEANSCORE | A | 2018 | 417.000 | NA |
| HKG | PISAREAD | TOT | MEANSCORE | A | 2015 | 527.000 | NA |
| HKG | PISAREAD | BOY | MEANSCORE | A | 2015 | 513.000 | NA |
| HKG | PISAREAD | GIRL | MEANSCORE | A | 2015 | 541.000 | NA |
| PER | PISAREAD | TOT | MEANSCORE | A | 2015 | 398.000 | NA |
| PER | PISAREAD | BOY | MEANSCORE | A | 2015 | 394.000 | NA |
| PER | PISAREAD | GIRL | MEANSCORE | A | 2015 | 401.000 | NA |
| SGP | PISAREAD | TOT | MEANSCORE | A | 2015 | 535.000 | NA |
| TWN | PISAREAD | TOT | MEANSCORE | A | 2015 | 497.000 | NA |
| TWN | PISAREAD | BOY | MEANSCORE | A | 2015 | 485.000 | NA |
| TWN | PISAREAD | GIRL | MEANSCORE | A | 2015 | 510.000 | NA |
| MAC | PISAREAD | TOT | MEANSCORE | A | 2015 | 509.000 | NA |
| MAC | PISAREAD | BOY | MEANSCORE | A | 2015 | 493.000 | NA |
| MAC | PISAREAD | GIRL | MEANSCORE | A | 2015 | 525.000 | NA |
| CRI | PISAREAD | TOT | MEANSCORE | A | 2018 | 426.000 | NA |
| CRI | PISAREAD | BOY | MEANSCORE | A | 2018 | 419.000 | NA |
| CRI | PISAREAD | GIRL | MEANSCORE | A | 2018 | 434.000 | NA |
| LTU | PISAREAD | TOT | MEANSCORE | A | 2018 | 476.000 | NA |
| LTU | PISAREAD | BOY | MEANSCORE | A | 2018 | 457.000 | NA |
| LTU | PISAREAD | GIRL | MEANSCORE | A | 2018 | 496.000 | NA |
| LOCATION | INDICATOR | SUBJECT | MEASURE | FREQUENCY | TIME | Value | Flag.Codes |
|---|---|---|---|---|---|---|---|
| AUS | PISASCIENCE | BOY | MEANSCORE | A | 2006 | 527.000 | NA |
| AUS | PISASCIENCE | BOY | MEANSCORE | A | 2009 | 527.000 | NA |
| AUS | PISASCIENCE | BOY | MEANSCORE | A | 2012 | 523.728 | NA |
| AUS | PISASCIENCE | BOY | MEANSCORE | A | 2015 | 511.000 | NA |
| AUS | PISASCIENCE | BOY | MEANSCORE | A | 2018 | 504.000 | NA |
| AUS | PISASCIENCE | GIRL | MEANSCORE | A | 2006 | 527.000 | NA |
| AUS | PISASCIENCE | GIRL | MEANSCORE | A | 2009 | 528.000 | NA |
| AUS | PISASCIENCE | GIRL | MEANSCORE | A | 2012 | 519.124 | NA |
| AUS | PISASCIENCE | GIRL | MEANSCORE | A | 2015 | 509.000 | NA |
| AUS | PISASCIENCE | GIRL | MEANSCORE | A | 2018 | 502.000 | NA |
| AUT | PISASCIENCE | BOY | MEANSCORE | A | 2006 | 515.000 | NA |
| AUT | PISASCIENCE | BOY | MEANSCORE | A | 2012 | 510.108 | NA |
| AUT | PISASCIENCE | BOY | MEANSCORE | A | 2015 | 504.000 | NA |
| AUT | PISASCIENCE | BOY | MEANSCORE | A | 2018 | 491.000 | NA |
| AUT | PISASCIENCE | GIRL | MEANSCORE | A | 2006 | 507.000 | NA |
| AUT | PISASCIENCE | GIRL | MEANSCORE | A | 2012 | 501.479 | NA |
| AUT | PISASCIENCE | GIRL | MEANSCORE | A | 2015 | 486.000 | NA |
| AUT | PISASCIENCE | GIRL | MEANSCORE | A | 2018 | 489.000 | NA |
| BEL | PISASCIENCE | BOY | MEANSCORE | A | 2006 | 511.000 | NA |
| BEL | PISASCIENCE | BOY | MEANSCORE | A | 2009 | 510.000 | NA |
| BEL | PISASCIENCE | BOY | MEANSCORE | A | 2012 | 506.820 | NA |
| BEL | PISASCIENCE | BOY | MEANSCORE | A | 2015 | 508.000 | NA |
| BEL | PISASCIENCE | BOY | MEANSCORE | A | 2018 | 501.000 | NA |
| BEL | PISASCIENCE | GIRL | MEANSCORE | A | 2006 | 510.000 | NA |
| BEL | PISASCIENCE | GIRL | MEANSCORE | A | 2009 | 503.000 | NA |
| BEL | PISASCIENCE | GIRL | MEANSCORE | A | 2012 | 502.900 | NA |
| BEL | PISASCIENCE | GIRL | MEANSCORE | A | 2015 | 496.000 | NA |
| BEL | PISASCIENCE | GIRL | MEANSCORE | A | 2018 | 496.000 | NA |
| CAN | PISASCIENCE | BOY | MEANSCORE | A | 2006 | 536.000 | NA |
| CAN | PISASCIENCE | BOY | MEANSCORE | A | 2009 | 531.000 | NA |
| CAN | PISASCIENCE | BOY | MEANSCORE | A | 2012 | 526.875 | NA |
| CAN | PISASCIENCE | BOY | MEANSCORE | A | 2015 | 528.000 | NA |
| CAN | PISASCIENCE | BOY | MEANSCORE | A | 2018 | 516.000 | NA |
| CAN | PISASCIENCE | GIRL | MEANSCORE | A | 2006 | 532.000 | NA |
| CAN | PISASCIENCE | GIRL | MEANSCORE | A | 2009 | 526.000 | NA |
| CAN | PISASCIENCE | GIRL | MEANSCORE | A | 2012 | 524.053 | NA |
| CAN | PISASCIENCE | GIRL | MEANSCORE | A | 2015 | 527.000 | NA |
| CAN | PISASCIENCE | GIRL | MEANSCORE | A | 2018 | 520.000 | NA |
| CZE | PISASCIENCE | BOY | MEANSCORE | A | 2006 | 515.000 | NA |
| CZE | PISASCIENCE | BOY | MEANSCORE | A | 2009 | 498.000 | NA |
| CZE | PISASCIENCE | BOY | MEANSCORE | A | 2012 | 508.721 | NA |
| CZE | PISASCIENCE | BOY | MEANSCORE | A | 2015 | 497.000 | NA |
| CZE | PISASCIENCE | BOY | MEANSCORE | A | 2018 | 496.000 | NA |
| CZE | PISASCIENCE | GIRL | MEANSCORE | A | 2006 | 510.000 | NA |
| CZE | PISASCIENCE | GIRL | MEANSCORE | A | 2009 | 503.000 | NA |
| CZE | PISASCIENCE | GIRL | MEANSCORE | A | 2012 | 507.855 | NA |
| CZE | PISASCIENCE | GIRL | MEANSCORE | A | 2015 | 488.000 | NA |
| CZE | PISASCIENCE | GIRL | MEANSCORE | A | 2018 | 498.000 | NA |
| DNK | PISASCIENCE | BOY | MEANSCORE | A | 2006 | 500.000 | NA |
| DNK | PISASCIENCE | BOY | MEANSCORE | A | 2009 | 505.000 | NA |
| DNK | PISASCIENCE | BOY | MEANSCORE | A | 2012 | 503.533 | NA |
| DNK | PISASCIENCE | BOY | MEANSCORE | A | 2015 | 505.000 | NA |
| DNK | PISASCIENCE | BOY | MEANSCORE | A | 2018 | 492.000 | NA |
| DNK | PISASCIENCE | GIRL | MEANSCORE | A | 2006 | 491.000 | NA |
| DNK | PISASCIENCE | GIRL | MEANSCORE | A | 2009 | 494.000 | NA |
| DNK | PISASCIENCE | GIRL | MEANSCORE | A | 2012 | 493.363 | NA |
| DNK | PISASCIENCE | GIRL | MEANSCORE | A | 2015 | 499.000 | NA |
| DNK | PISASCIENCE | GIRL | MEANSCORE | A | 2018 | 494.000 | NA |
| FIN | PISASCIENCE | BOY | MEANSCORE | A | 2006 | 562.000 | NA |
| FIN | PISASCIENCE | BOY | MEANSCORE | A | 2009 | 546.000 | NA |
| FIN | PISASCIENCE | BOY | MEANSCORE | A | 2012 | 537.436 | NA |
| FIN | PISASCIENCE | BOY | MEANSCORE | A | 2015 | 521.000 | NA |
| FIN | PISASCIENCE | BOY | MEANSCORE | A | 2018 | 510.000 | NA |
| FIN | PISASCIENCE | GIRL | MEANSCORE | A | 2006 | 565.000 | NA |
| FIN | PISASCIENCE | GIRL | MEANSCORE | A | 2009 | 562.000 | NA |
| FIN | PISASCIENCE | GIRL | MEANSCORE | A | 2012 | 553.893 | NA |
| FIN | PISASCIENCE | GIRL | MEANSCORE | A | 2015 | 541.000 | NA |
| FIN | PISASCIENCE | GIRL | MEANSCORE | A | 2018 | 534.000 | NA |
| FRA | PISASCIENCE | BOY | MEANSCORE | A | 2006 | 497.000 | NA |
| FRA | PISASCIENCE | BOY | MEANSCORE | A | 2009 | 500.000 | NA |
| FRA | PISASCIENCE | BOY | MEANSCORE | A | 2012 | 497.716 | NA |
| FRA | PISASCIENCE | BOY | MEANSCORE | A | 2015 | 496.000 | NA |
| FRA | PISASCIENCE | BOY | MEANSCORE | A | 2018 | 493.000 | NA |
| FRA | PISASCIENCE | GIRL | MEANSCORE | A | 2006 | 494.000 | NA |
| FRA | PISASCIENCE | GIRL | MEANSCORE | A | 2009 | 497.000 | NA |
| FRA | PISASCIENCE | GIRL | MEANSCORE | A | 2012 | 500.157 | NA |
| FRA | PISASCIENCE | GIRL | MEANSCORE | A | 2015 | 494.000 | NA |
| FRA | PISASCIENCE | GIRL | MEANSCORE | A | 2018 | 493.000 | NA |
| DEU | PISASCIENCE | BOY | MEANSCORE | A | 2006 | 519.000 | NA |
| DEU | PISASCIENCE | BOY | MEANSCORE | A | 2009 | 523.000 | NA |
| DEU | PISASCIENCE | BOY | MEANSCORE | A | 2012 | 523.860 | NA |
| DEU | PISASCIENCE | BOY | MEANSCORE | A | 2015 | 514.000 | NA |
| DEU | PISASCIENCE | BOY | MEANSCORE | A | 2018 | 502.000 | NA |
| DEU | PISASCIENCE | GIRL | MEANSCORE | A | 2006 | 512.000 | NA |
| DEU | PISASCIENCE | GIRL | MEANSCORE | A | 2009 | 518.000 | NA |
| DEU | PISASCIENCE | GIRL | MEANSCORE | A | 2012 | 524.391 | NA |
| DEU | PISASCIENCE | GIRL | MEANSCORE | A | 2015 | 504.000 | NA |
| DEU | PISASCIENCE | GIRL | MEANSCORE | A | 2018 | 504.000 | NA |
| GRC | PISASCIENCE | BOY | MEANSCORE | A | 2006 | 468.000 | NA |
| GRC | PISASCIENCE | BOY | MEANSCORE | A | 2009 | 465.000 | NA |
| GRC | PISASCIENCE | BOY | MEANSCORE | A | 2012 | 460.020 | NA |
| GRC | PISASCIENCE | BOY | MEANSCORE | A | 2015 | 451.000 | NA |
| GRC | PISASCIENCE | BOY | MEANSCORE | A | 2018 | 446.000 | NA |
| GRC | PISASCIENCE | GIRL | MEANSCORE | A | 2006 | 479.000 | NA |
| GRC | PISASCIENCE | GIRL | MEANSCORE | A | 2009 | 475.000 | NA |
| GRC | PISASCIENCE | GIRL | MEANSCORE | A | 2012 | 473.298 | NA |
| GRC | PISASCIENCE | GIRL | MEANSCORE | A | 2015 | 459.000 | NA |
| GRC | PISASCIENCE | GIRL | MEANSCORE | A | 2018 | 457.000 | NA |
| HUN | PISASCIENCE | BOY | MEANSCORE | A | 2006 | 507.000 | NA |
| HUN | PISASCIENCE | BOY | MEANSCORE | A | 2009 | 503.000 | NA |
| HUN | PISASCIENCE | BOY | MEANSCORE | A | 2012 | 495.913 | NA |
| HUN | PISASCIENCE | BOY | MEANSCORE | A | 2015 | 478.000 | NA |
| HUN | PISASCIENCE | BOY | MEANSCORE | A | 2018 | 484.000 | NA |
| HUN | PISASCIENCE | GIRL | MEANSCORE | A | 2006 | 501.000 | NA |
| HUN | PISASCIENCE | GIRL | MEANSCORE | A | 2009 | 503.000 | NA |
| HUN | PISASCIENCE | GIRL | MEANSCORE | A | 2012 | 492.803 | NA |
| HUN | PISASCIENCE | GIRL | MEANSCORE | A | 2015 | 475.000 | NA |
| HUN | PISASCIENCE | GIRL | MEANSCORE | A | 2018 | 478.000 | NA |
| ISL | PISASCIENCE | BOY | MEANSCORE | A | 2006 | 488.000 | NA |
| ISL | PISASCIENCE | BOY | MEANSCORE | A | 2009 | 496.000 | NA |
| ISL | PISASCIENCE | BOY | MEANSCORE | A | 2012 | 476.676 | NA |
| ISL | PISASCIENCE | BOY | MEANSCORE | A | 2015 | 472.000 | NA |
| ISL | PISASCIENCE | BOY | MEANSCORE | A | 2018 | 471.000 | NA |
| ISL | PISASCIENCE | GIRL | MEANSCORE | A | 2006 | 494.000 | NA |
| ISL | PISASCIENCE | GIRL | MEANSCORE | A | 2009 | 495.000 | NA |
| ISL | PISASCIENCE | GIRL | MEANSCORE | A | 2012 | 479.669 | NA |
| ISL | PISASCIENCE | GIRL | MEANSCORE | A | 2015 | 475.000 | NA |
| ISL | PISASCIENCE | GIRL | MEANSCORE | A | 2018 | 479.000 | NA |
| IRL | PISASCIENCE | BOY | MEANSCORE | A | 2006 | 508.000 | NA |
| IRL | PISASCIENCE | BOY | MEANSCORE | A | 2009 | 507.000 | NA |
| IRL | PISASCIENCE | BOY | MEANSCORE | A | 2012 | 523.942 | NA |
| IRL | PISASCIENCE | BOY | MEANSCORE | A | 2015 | 508.000 | NA |
| IRL | PISASCIENCE | BOY | MEANSCORE | A | 2018 | 495.000 | NA |
| IRL | PISASCIENCE | GIRL | MEANSCORE | A | 2006 | 509.000 | NA |
| IRL | PISASCIENCE | GIRL | MEANSCORE | A | 2009 | 509.000 | NA |
| IRL | PISASCIENCE | GIRL | MEANSCORE | A | 2012 | 520.000 | NA |
| IRL | PISASCIENCE | GIRL | MEANSCORE | A | 2015 | 497.000 | NA |
| IRL | PISASCIENCE | GIRL | MEANSCORE | A | 2018 | 497.000 | NA |
| ITA | PISASCIENCE | BOY | MEANSCORE | A | 2006 | 477.000 | NA |
| ITA | PISASCIENCE | BOY | MEANSCORE | A | 2009 | 488.000 | NA |
| ITA | PISASCIENCE | BOY | MEANSCORE | A | 2012 | 494.897 | NA |
| ITA | PISASCIENCE | BOY | MEANSCORE | A | 2015 | 489.000 | NA |
| ITA | PISASCIENCE | BOY | MEANSCORE | A | 2018 | 470.000 | NA |
| ITA | PISASCIENCE | GIRL | MEANSCORE | A | 2006 | 474.000 | NA |
| ITA | PISASCIENCE | GIRL | MEANSCORE | A | 2009 | 490.000 | NA |
| ITA | PISASCIENCE | GIRL | MEANSCORE | A | 2012 | 492.087 | NA |
| ITA | PISASCIENCE | GIRL | MEANSCORE | A | 2015 | 472.000 | NA |
| ITA | PISASCIENCE | GIRL | MEANSCORE | A | 2018 | 466.000 | NA |
| JPN | PISASCIENCE | BOY | MEANSCORE | A | 2006 | 533.000 | NA |
| JPN | PISASCIENCE | BOY | MEANSCORE | A | 2009 | 534.000 | NA |
| JPN | PISASCIENCE | BOY | MEANSCORE | A | 2012 | 551.947 | NA |
| JPN | PISASCIENCE | BOY | MEANSCORE | A | 2015 | 545.000 | NA |
| JPN | PISASCIENCE | BOY | MEANSCORE | A | 2018 | 531.000 | NA |
| JPN | PISASCIENCE | GIRL | MEANSCORE | A | 2006 | 530.000 | NA |
| JPN | PISASCIENCE | GIRL | MEANSCORE | A | 2009 | 545.000 | NA |
| JPN | PISASCIENCE | GIRL | MEANSCORE | A | 2012 | 540.959 | NA |
| JPN | PISASCIENCE | GIRL | MEANSCORE | A | 2015 | 532.000 | NA |
| JPN | PISASCIENCE | GIRL | MEANSCORE | A | 2018 | 528.000 | NA |
| KOR | PISASCIENCE | BOY | MEANSCORE | A | 2006 | 521.000 | NA |
| KOR | PISASCIENCE | BOY | MEANSCORE | A | 2009 | 537.000 | NA |
| KOR | PISASCIENCE | BOY | MEANSCORE | A | 2012 | 539.408 | NA |
| KOR | PISASCIENCE | BOY | MEANSCORE | A | 2015 | 511.000 | NA |
| KOR | PISASCIENCE | BOY | MEANSCORE | A | 2018 | 521.000 | NA |
| KOR | PISASCIENCE | GIRL | MEANSCORE | A | 2006 | 523.000 | NA |
| KOR | PISASCIENCE | GIRL | MEANSCORE | A | 2009 | 539.000 | NA |
| KOR | PISASCIENCE | GIRL | MEANSCORE | A | 2012 | 535.930 | NA |
| KOR | PISASCIENCE | GIRL | MEANSCORE | A | 2015 | 521.000 | NA |
| KOR | PISASCIENCE | GIRL | MEANSCORE | A | 2018 | 517.000 | NA |
| LUX | PISASCIENCE | BOY | MEANSCORE | A | 2006 | 491.000 | NA |
| LUX | PISASCIENCE | BOY | MEANSCORE | A | 2009 | 487.000 | NA |
| LUX | PISASCIENCE | BOY | MEANSCORE | A | 2012 | 498.715 | NA |
| LUX | PISASCIENCE | BOY | MEANSCORE | A | 2015 | 487.000 | NA |
| LUX | PISASCIENCE | BOY | MEANSCORE | A | 2018 | 475.000 | NA |
| LUX | PISASCIENCE | GIRL | MEANSCORE | A | 2006 | 482.000 | NA |
| LUX | PISASCIENCE | GIRL | MEANSCORE | A | 2009 | 480.000 | NA |
| LUX | PISASCIENCE | GIRL | MEANSCORE | A | 2012 | 483.484 | NA |
| LUX | PISASCIENCE | GIRL | MEANSCORE | A | 2015 | 479.000 | NA |
| LUX | PISASCIENCE | GIRL | MEANSCORE | A | 2018 | 479.000 | NA |
| MEX | PISASCIENCE | BOY | MEANSCORE | A | 2006 | 413.000 | NA |
| MEX | PISASCIENCE | BOY | MEANSCORE | A | 2009 | 419.000 | NA |
| MEX | PISASCIENCE | BOY | MEANSCORE | A | 2012 | 418.128 | NA |
| MEX | PISASCIENCE | BOY | MEANSCORE | A | 2015 | 420.000 | NA |
| MEX | PISASCIENCE | BOY | MEANSCORE | A | 2018 | 424.000 | NA |
| MEX | PISASCIENCE | GIRL | MEANSCORE | A | 2006 | 406.000 | NA |
| MEX | PISASCIENCE | GIRL | MEANSCORE | A | 2009 | 413.000 | NA |
| MEX | PISASCIENCE | GIRL | MEANSCORE | A | 2012 | 411.836 | NA |
| MEX | PISASCIENCE | GIRL | MEANSCORE | A | 2015 | 412.000 | NA |
| MEX | PISASCIENCE | GIRL | MEANSCORE | A | 2018 | 415.000 | NA |
| NLD | PISASCIENCE | BOY | MEANSCORE | A | 2006 | 528.000 | NA |
| NLD | PISASCIENCE | BOY | MEANSCORE | A | 2009 | 524.000 | NA |
| NLD | PISASCIENCE | BOY | MEANSCORE | A | 2012 | 523.622 | NA |
| NLD | PISASCIENCE | BOY | MEANSCORE | A | 2015 | 511.000 | NA |
| NLD | PISASCIENCE | BOY | MEANSCORE | A | 2018 | 499.000 | NA |
| NLD | PISASCIENCE | GIRL | MEANSCORE | A | 2006 | 521.000 | NA |
| NLD | PISASCIENCE | GIRL | MEANSCORE | A | 2009 | 520.000 | NA |
| NLD | PISASCIENCE | GIRL | MEANSCORE | A | 2012 | 520.415 | NA |
| NLD | PISASCIENCE | GIRL | MEANSCORE | A | 2015 | 507.000 | NA |
| NLD | PISASCIENCE | GIRL | MEANSCORE | A | 2018 | 508.000 | NA |
| NZL | PISASCIENCE | BOY | MEANSCORE | A | 2006 | 528.000 | NA |
| NZL | PISASCIENCE | BOY | MEANSCORE | A | 2009 | 529.000 | NA |
| NZL | PISASCIENCE | BOY | MEANSCORE | A | 2012 | 517.875 | NA |
| NZL | PISASCIENCE | BOY | MEANSCORE | A | 2015 | 516.000 | NA |
| NZL | PISASCIENCE | BOY | MEANSCORE | A | 2018 | 509.000 | NA |
| NZL | PISASCIENCE | GIRL | MEANSCORE | A | 2006 | 532.000 | NA |
| NZL | PISASCIENCE | GIRL | MEANSCORE | A | 2009 | 535.000 | NA |
| NZL | PISASCIENCE | GIRL | MEANSCORE | A | 2012 | 513.297 | NA |
| NZL | PISASCIENCE | GIRL | MEANSCORE | A | 2015 | 511.000 | NA |
| NZL | PISASCIENCE | GIRL | MEANSCORE | A | 2018 | 508.000 | NA |
| NOR | PISASCIENCE | BOY | MEANSCORE | A | 2006 | 484.000 | NA |
| NOR | PISASCIENCE | BOY | MEANSCORE | A | 2009 | 498.000 | NA |
| NOR | PISASCIENCE | BOY | MEANSCORE | A | 2012 | 492.792 | NA |
| NOR | PISASCIENCE | BOY | MEANSCORE | A | 2015 | 500.000 | NA |
| NOR | PISASCIENCE | BOY | MEANSCORE | A | 2018 | 485.000 | NA |
| NOR | PISASCIENCE | GIRL | MEANSCORE | A | 2006 | 489.000 | NA |
| NOR | PISASCIENCE | GIRL | MEANSCORE | A | 2009 | 502.000 | NA |
| NOR | PISASCIENCE | GIRL | MEANSCORE | A | 2012 | 496.346 | NA |
| NOR | PISASCIENCE | GIRL | MEANSCORE | A | 2015 | 497.000 | NA |
| NOR | PISASCIENCE | GIRL | MEANSCORE | A | 2018 | 496.000 | NA |
| POL | PISASCIENCE | BOY | MEANSCORE | A | 2006 | 500.000 | NA |
| POL | PISASCIENCE | BOY | MEANSCORE | A | 2009 | 505.000 | NA |
| POL | PISASCIENCE | BOY | MEANSCORE | A | 2012 | 524.421 | NA |
| POL | PISASCIENCE | BOY | MEANSCORE | A | 2015 | 504.000 | NA |
| POL | PISASCIENCE | BOY | MEANSCORE | A | 2018 | 511.000 | NA |
| POL | PISASCIENCE | GIRL | MEANSCORE | A | 2006 | 496.000 | NA |
| POL | PISASCIENCE | GIRL | MEANSCORE | A | 2009 | 511.000 | NA |
| POL | PISASCIENCE | GIRL | MEANSCORE | A | 2012 | 527.149 | NA |
| POL | PISASCIENCE | GIRL | MEANSCORE | A | 2015 | 498.000 | NA |
| POL | PISASCIENCE | GIRL | MEANSCORE | A | 2018 | 511.000 | NA |
| PRT | PISASCIENCE | BOY | MEANSCORE | A | 2006 | 477.000 | NA |
| PRT | PISASCIENCE | BOY | MEANSCORE | A | 2009 | 491.000 | NA |
| PRT | PISASCIENCE | BOY | MEANSCORE | A | 2012 | 488.346 | NA |
| PRT | PISASCIENCE | BOY | MEANSCORE | A | 2015 | 506.000 | NA |
| PRT | PISASCIENCE | BOY | MEANSCORE | A | 2018 | 494.000 | NA |
| PRT | PISASCIENCE | GIRL | MEANSCORE | A | 2006 | 472.000 | NA |
| PRT | PISASCIENCE | GIRL | MEANSCORE | A | 2009 | 495.000 | NA |
| PRT | PISASCIENCE | GIRL | MEANSCORE | A | 2012 | 490.224 | NA |
| PRT | PISASCIENCE | GIRL | MEANSCORE | A | 2015 | 496.000 | NA |
| PRT | PISASCIENCE | GIRL | MEANSCORE | A | 2018 | 489.000 | NA |
| SVK | PISASCIENCE | BOY | MEANSCORE | A | 2006 | 491.000 | NA |
| SVK | PISASCIENCE | BOY | MEANSCORE | A | 2009 | 490.000 | NA |
| SVK | PISASCIENCE | BOY | MEANSCORE | A | 2012 | 474.658 | NA |
| SVK | PISASCIENCE | BOY | MEANSCORE | A | 2015 | 460.000 | NA |
| SVK | PISASCIENCE | BOY | MEANSCORE | A | 2018 | 461.000 | NA |
| SVK | PISASCIENCE | GIRL | MEANSCORE | A | 2006 | 485.000 | NA |
| SVK | PISASCIENCE | GIRL | MEANSCORE | A | 2009 | 491.000 | NA |
| SVK | PISASCIENCE | GIRL | MEANSCORE | A | 2012 | 467.385 | NA |
| SVK | PISASCIENCE | GIRL | MEANSCORE | A | 2015 | 461.000 | NA |
| SVK | PISASCIENCE | GIRL | MEANSCORE | A | 2018 | 467.000 | NA |
| ESP | PISASCIENCE | BOY | MEANSCORE | A | 2006 | 491.000 | NA |
| ESP | PISASCIENCE | BOY | MEANSCORE | A | 2009 | 492.000 | NA |
| ESP | PISASCIENCE | BOY | MEANSCORE | A | 2012 | 500.119 | NA |
| ESP | PISASCIENCE | BOY | MEANSCORE | A | 2015 | 496.000 | NA |
| ESP | PISASCIENCE | BOY | MEANSCORE | A | 2018 | 484.000 | NA |
| ESP | PISASCIENCE | GIRL | MEANSCORE | A | 2006 | 486.000 | NA |
| ESP | PISASCIENCE | GIRL | MEANSCORE | A | 2009 | 485.000 | NA |
| ESP | PISASCIENCE | GIRL | MEANSCORE | A | 2012 | 492.658 | NA |
| ESP | PISASCIENCE | GIRL | MEANSCORE | A | 2015 | 489.000 | NA |
| ESP | PISASCIENCE | GIRL | MEANSCORE | A | 2018 | 482.000 | NA |
| SWE | PISASCIENCE | BOY | MEANSCORE | A | 2006 | 504.000 | NA |
| SWE | PISASCIENCE | BOY | MEANSCORE | A | 2009 | 493.000 | NA |
| SWE | PISASCIENCE | BOY | MEANSCORE | A | 2012 | 481.151 | NA |
| SWE | PISASCIENCE | BOY | MEANSCORE | A | 2015 | 491.000 | NA |
| SWE | PISASCIENCE | BOY | MEANSCORE | A | 2018 | 496.000 | NA |
| SWE | PISASCIENCE | GIRL | MEANSCORE | A | 2006 | 503.000 | NA |
| SWE | PISASCIENCE | GIRL | MEANSCORE | A | 2009 | 497.000 | NA |
| SWE | PISASCIENCE | GIRL | MEANSCORE | A | 2012 | 488.513 | NA |
| SWE | PISASCIENCE | GIRL | MEANSCORE | A | 2015 | 496.000 | NA |
| SWE | PISASCIENCE | GIRL | MEANSCORE | A | 2018 | 503.000 | NA |
| CHE | PISASCIENCE | BOY | MEANSCORE | A | 2006 | 514.000 | NA |
| CHE | PISASCIENCE | BOY | MEANSCORE | A | 2009 | 520.000 | NA |
| CHE | PISASCIENCE | BOY | MEANSCORE | A | 2012 | 518.255 | NA |
| CHE | PISASCIENCE | BOY | MEANSCORE | A | 2015 | 508.000 | NA |
| CHE | PISASCIENCE | BOY | MEANSCORE | A | 2018 | 495.000 | NA |
| CHE | PISASCIENCE | GIRL | MEANSCORE | A | 2006 | 509.000 | NA |
| CHE | PISASCIENCE | GIRL | MEANSCORE | A | 2009 | 512.000 | NA |
| CHE | PISASCIENCE | GIRL | MEANSCORE | A | 2012 | 512.331 | NA |
| CHE | PISASCIENCE | GIRL | MEANSCORE | A | 2015 | 502.000 | NA |
| CHE | PISASCIENCE | GIRL | MEANSCORE | A | 2018 | 495.000 | NA |
| TUR | PISASCIENCE | BOY | MEANSCORE | A | 2006 | 418.000 | NA |
| TUR | PISASCIENCE | BOY | MEANSCORE | A | 2009 | 448.000 | NA |
| TUR | PISASCIENCE | BOY | MEANSCORE | A | 2012 | 458.316 | NA |
| TUR | PISASCIENCE | BOY | MEANSCORE | A | 2015 | 422.000 | NA |
| TUR | PISASCIENCE | BOY | MEANSCORE | A | 2018 | 465.000 | NA |
| TUR | PISASCIENCE | GIRL | MEANSCORE | A | 2006 | 430.000 | NA |
| TUR | PISASCIENCE | GIRL | MEANSCORE | A | 2009 | 460.000 | NA |
| TUR | PISASCIENCE | GIRL | MEANSCORE | A | 2012 | 468.622 | NA |
| TUR | PISASCIENCE | GIRL | MEANSCORE | A | 2015 | 429.000 | NA |
| TUR | PISASCIENCE | GIRL | MEANSCORE | A | 2018 | 472.000 | NA |
| GBR | PISASCIENCE | BOY | MEANSCORE | A | 2006 | 520.000 | NA |
| GBR | PISASCIENCE | BOY | MEANSCORE | A | 2009 | 519.000 | NA |
| GBR | PISASCIENCE | BOY | MEANSCORE | A | 2012 | 520.622 | NA |
| GBR | PISASCIENCE | BOY | MEANSCORE | A | 2015 | 510.000 | NA |
| GBR | PISASCIENCE | BOY | MEANSCORE | A | 2018 | 506.000 | NA |
| GBR | PISASCIENCE | GIRL | MEANSCORE | A | 2006 | 510.000 | NA |
| GBR | PISASCIENCE | GIRL | MEANSCORE | A | 2009 | 509.000 | NA |
| GBR | PISASCIENCE | GIRL | MEANSCORE | A | 2012 | 507.883 | NA |
| GBR | PISASCIENCE | GIRL | MEANSCORE | A | 2015 | 509.000 | NA |
| GBR | PISASCIENCE | GIRL | MEANSCORE | A | 2018 | 503.000 | NA |
| USA | PISASCIENCE | BOY | MEANSCORE | A | 2006 | 489.000 | NA |
| USA | PISASCIENCE | BOY | MEANSCORE | A | 2009 | 509.000 | NA |
| USA | PISASCIENCE | BOY | MEANSCORE | A | 2012 | 496.529 | NA |
| USA | PISASCIENCE | BOY | MEANSCORE | A | 2015 | 500.000 | NA |
| USA | PISASCIENCE | BOY | MEANSCORE | A | 2018 | 503.000 | NA |
| USA | PISASCIENCE | GIRL | MEANSCORE | A | 2006 | 489.000 | NA |
| USA | PISASCIENCE | GIRL | MEANSCORE | A | 2009 | 495.000 | NA |
| USA | PISASCIENCE | GIRL | MEANSCORE | A | 2012 | 498.325 | NA |
| USA | PISASCIENCE | GIRL | MEANSCORE | A | 2015 | 493.000 | NA |
| USA | PISASCIENCE | GIRL | MEANSCORE | A | 2018 | 502.000 | NA |
| BRA | PISASCIENCE | BOY | MEANSCORE | A | 2006 | 395.000 | NA |
| BRA | PISASCIENCE | BOY | MEANSCORE | A | 2009 | 407.000 | NA |
| BRA | PISASCIENCE | BOY | MEANSCORE | A | 2012 | 405.541 | NA |
| BRA | PISASCIENCE | BOY | MEANSCORE | A | 2015 | 403.000 | NA |
| BRA | PISASCIENCE | BOY | MEANSCORE | A | 2018 | 403.000 | NA |
| BRA | PISASCIENCE | GIRL | MEANSCORE | A | 2006 | 386.000 | NA |
| BRA | PISASCIENCE | GIRL | MEANSCORE | A | 2009 | 404.000 | NA |
| BRA | PISASCIENCE | GIRL | MEANSCORE | A | 2012 | 403.949 | NA |
| BRA | PISASCIENCE | GIRL | MEANSCORE | A | 2015 | 399.000 | NA |
| BRA | PISASCIENCE | GIRL | MEANSCORE | A | 2018 | 404.000 | NA |
| CHL | PISASCIENCE | BOY | MEANSCORE | A | 2006 | 448.000 | NA |
| CHL | PISASCIENCE | BOY | MEANSCORE | A | 2009 | 452.000 | NA |
| CHL | PISASCIENCE | BOY | MEANSCORE | A | 2012 | 448.441 | NA |
| CHL | PISASCIENCE | BOY | MEANSCORE | A | 2015 | 454.000 | NA |
| CHL | PISASCIENCE | BOY | MEANSCORE | A | 2018 | 445.000 | NA |
| CHL | PISASCIENCE | GIRL | MEANSCORE | A | 2006 | 426.000 | NA |
| CHL | PISASCIENCE | GIRL | MEANSCORE | A | 2009 | 443.000 | NA |
| CHL | PISASCIENCE | GIRL | MEANSCORE | A | 2012 | 441.645 | NA |
| CHL | PISASCIENCE | GIRL | MEANSCORE | A | 2015 | 440.000 | NA |
| CHL | PISASCIENCE | GIRL | MEANSCORE | A | 2018 | 442.000 | NA |
| EST | PISASCIENCE | BOY | MEANSCORE | A | 2006 | 530.000 | NA |
| EST | PISASCIENCE | BOY | MEANSCORE | A | 2009 | 527.000 | NA |
| EST | PISASCIENCE | BOY | MEANSCORE | A | 2012 | 540.177 | NA |
| EST | PISASCIENCE | BOY | MEANSCORE | A | 2015 | 536.000 | NA |
| EST | PISASCIENCE | BOY | MEANSCORE | A | 2018 | 528.000 | NA |
| EST | PISASCIENCE | GIRL | MEANSCORE | A | 2006 | 533.000 | NA |
| EST | PISASCIENCE | GIRL | MEANSCORE | A | 2009 | 528.000 | NA |
| EST | PISASCIENCE | GIRL | MEANSCORE | A | 2012 | 542.608 | NA |
| EST | PISASCIENCE | GIRL | MEANSCORE | A | 2015 | 533.000 | NA |
| EST | PISASCIENCE | GIRL | MEANSCORE | A | 2018 | 533.000 | NA |
| IDN | PISASCIENCE | BOY | MEANSCORE | A | 2006 | 399.000 | NA |
| IDN | PISASCIENCE | BOY | MEANSCORE | A | 2009 | 378.000 | NA |
| IDN | PISASCIENCE | BOY | MEANSCORE | A | 2012 | 380.409 | NA |
| IDN | PISASCIENCE | BOY | MEANSCORE | A | 2015 | 401.000 | NA |
| IDN | PISASCIENCE | BOY | MEANSCORE | A | 2018 | 393.000 | NA |
| IDN | PISASCIENCE | GIRL | MEANSCORE | A | 2006 | 387.000 | NA |
| IDN | PISASCIENCE | GIRL | MEANSCORE | A | 2009 | 387.000 | NA |
| IDN | PISASCIENCE | GIRL | MEANSCORE | A | 2012 | 383.459 | NA |
| IDN | PISASCIENCE | GIRL | MEANSCORE | A | 2015 | 405.000 | NA |
| IDN | PISASCIENCE | GIRL | MEANSCORE | A | 2018 | 399.000 | NA |
| ISR | PISASCIENCE | BOY | MEANSCORE | A | 2006 | 456.000 | NA |
| ISR | PISASCIENCE | BOY | MEANSCORE | A | 2009 | 453.000 | NA |
| ISR | PISASCIENCE | BOY | MEANSCORE | A | 2012 | 469.715 | NA |
| ISR | PISASCIENCE | BOY | MEANSCORE | A | 2015 | 469.000 | NA |
| ISR | PISASCIENCE | BOY | MEANSCORE | A | 2018 | 452.000 | NA |
| ISR | PISASCIENCE | GIRL | MEANSCORE | A | 2006 | 452.000 | NA |
| ISR | PISASCIENCE | GIRL | MEANSCORE | A | 2009 | 456.000 | NA |
| ISR | PISASCIENCE | GIRL | MEANSCORE | A | 2012 | 470.419 | NA |
| ISR | PISASCIENCE | GIRL | MEANSCORE | A | 2015 | 464.000 | NA |
| ISR | PISASCIENCE | GIRL | MEANSCORE | A | 2018 | 471.000 | NA |
| RUS | PISASCIENCE | BOY | MEANSCORE | A | 2009 | 477.000 | NA |
| RUS | PISASCIENCE | BOY | MEANSCORE | A | 2012 | 483.532 | NA |
| RUS | PISASCIENCE | BOY | MEANSCORE | A | 2015 | 489.000 | NA |
| RUS | PISASCIENCE | BOY | MEANSCORE | A | 2018 | 477.000 | NA |
| RUS | PISASCIENCE | GIRL | MEANSCORE | A | 2009 | 480.000 | NA |
| RUS | PISASCIENCE | GIRL | MEANSCORE | A | 2012 | 489.058 | NA |
| RUS | PISASCIENCE | GIRL | MEANSCORE | A | 2015 | 485.000 | NA |
| RUS | PISASCIENCE | GIRL | MEANSCORE | A | 2018 | 478.000 | NA |
| SVN | PISASCIENCE | BOY | MEANSCORE | A | 2006 | 515.000 | NA |
| SVN | PISASCIENCE | BOY | MEANSCORE | A | 2009 | 505.000 | NA |
| SVN | PISASCIENCE | BOY | MEANSCORE | A | 2012 | 509.882 | NA |
| SVN | PISASCIENCE | BOY | MEANSCORE | A | 2015 | 510.000 | NA |
| SVN | PISASCIENCE | BOY | MEANSCORE | A | 2018 | 502.000 | NA |
| SVN | PISASCIENCE | GIRL | MEANSCORE | A | 2006 | 523.000 | NA |
| SVN | PISASCIENCE | GIRL | MEANSCORE | A | 2009 | 519.000 | NA |
| SVN | PISASCIENCE | GIRL | MEANSCORE | A | 2012 | 518.717 | NA |
| SVN | PISASCIENCE | GIRL | MEANSCORE | A | 2015 | 516.000 | NA |
| SVN | PISASCIENCE | GIRL | MEANSCORE | A | 2018 | 512.000 | NA |
| OAVG | PISASCIENCE | BOY | MEANSCORE | A | 2006 | 499.441 | NA |
| OAVG | PISASCIENCE | BOY | MEANSCORE | A | 2009 | 500.853 | NA |
| OAVG | PISASCIENCE | BOY | MEANSCORE | A | 2012 | 501.863 | NA |
| OAVG | PISASCIENCE | BOY | MEANSCORE | A | 2015 | 495.000 | NA |
| OAVG | PISASCIENCE | BOY | MEANSCORE | A | 2018 | 488.000 | NA |
| OAVG | PISASCIENCE | GIRL | MEANSCORE | A | 2006 | 497.118 | NA |
| OAVG | PISASCIENCE | GIRL | MEANSCORE | A | 2009 | 500.824 | NA |
| OAVG | PISASCIENCE | GIRL | MEANSCORE | A | 2012 | 500.406 | NA |
| OAVG | PISASCIENCE | GIRL | MEANSCORE | A | 2015 | 491.000 | NA |
| OAVG | PISASCIENCE | GIRL | MEANSCORE | A | 2018 | 490.000 | NA |
| LVA | PISASCIENCE | BOY | MEANSCORE | A | 2015 | 485.000 | NA |
| LVA | PISASCIENCE | BOY | MEANSCORE | A | 2018 | 483.000 | NA |
| LVA | PISASCIENCE | GIRL | MEANSCORE | A | 2015 | 496.000 | NA |
| LVA | PISASCIENCE | GIRL | MEANSCORE | A | 2018 | 491.000 | NA |
| AUS | PISASCIENCE | TOT | MEANSCORE | A | 2006 | 527.000 | NA |
| AUS | PISASCIENCE | TOT | MEANSCORE | A | 2009 | 527.000 | NA |
| AUS | PISASCIENCE | TOT | MEANSCORE | A | 2012 | 521.000 | NA |
| AUS | PISASCIENCE | TOT | MEANSCORE | A | 2015 | 510.000 | NA |
| AUS | PISASCIENCE | TOT | MEANSCORE | A | 2018 | 503.000 | NA |
| AUT | PISASCIENCE | TOT | MEANSCORE | A | 2006 | 511.000 | NA |
| AUT | PISASCIENCE | TOT | MEANSCORE | A | 2012 | 506.000 | NA |
| AUT | PISASCIENCE | TOT | MEANSCORE | A | 2015 | 495.000 | NA |
| AUT | PISASCIENCE | TOT | MEANSCORE | A | 2018 | 490.000 | NA |
| BEL | PISASCIENCE | TOT | MEANSCORE | A | 2006 | 510.000 | NA |
| BEL | PISASCIENCE | TOT | MEANSCORE | A | 2009 | 507.000 | NA |
| BEL | PISASCIENCE | TOT | MEANSCORE | A | 2012 | 505.000 | NA |
| BEL | PISASCIENCE | TOT | MEANSCORE | A | 2015 | 502.000 | NA |
| BEL | PISASCIENCE | TOT | MEANSCORE | A | 2018 | 499.000 | NA |
| CAN | PISASCIENCE | TOT | MEANSCORE | A | 2006 | 534.000 | NA |
| CAN | PISASCIENCE | TOT | MEANSCORE | A | 2009 | 529.000 | NA |
| CAN | PISASCIENCE | TOT | MEANSCORE | A | 2012 | 525.000 | NA |
| CAN | PISASCIENCE | TOT | MEANSCORE | A | 2015 | 528.000 | NA |
| CAN | PISASCIENCE | TOT | MEANSCORE | A | 2018 | 518.000 | NA |
| CZE | PISASCIENCE | TOT | MEANSCORE | A | 2006 | 513.000 | NA |
| CZE | PISASCIENCE | TOT | MEANSCORE | A | 2009 | 500.000 | NA |
| CZE | PISASCIENCE | TOT | MEANSCORE | A | 2012 | 508.000 | NA |
| CZE | PISASCIENCE | TOT | MEANSCORE | A | 2015 | 493.000 | NA |
| CZE | PISASCIENCE | TOT | MEANSCORE | A | 2018 | 497.000 | NA |
| DNK | PISASCIENCE | TOT | MEANSCORE | A | 2006 | 496.000 | NA |
| DNK | PISASCIENCE | TOT | MEANSCORE | A | 2009 | 499.000 | NA |
| DNK | PISASCIENCE | TOT | MEANSCORE | A | 2012 | 498.000 | NA |
| DNK | PISASCIENCE | TOT | MEANSCORE | A | 2015 | 502.000 | NA |
| DNK | PISASCIENCE | TOT | MEANSCORE | A | 2018 | 493.000 | NA |
| FIN | PISASCIENCE | TOT | MEANSCORE | A | 2006 | 563.000 | NA |
| FIN | PISASCIENCE | TOT | MEANSCORE | A | 2009 | 554.000 | NA |
| FIN | PISASCIENCE | TOT | MEANSCORE | A | 2012 | 545.000 | NA |
| FIN | PISASCIENCE | TOT | MEANSCORE | A | 2015 | 531.000 | NA |
| FIN | PISASCIENCE | TOT | MEANSCORE | A | 2018 | 522.000 | NA |
| FRA | PISASCIENCE | TOT | MEANSCORE | A | 2006 | 495.000 | NA |
| FRA | PISASCIENCE | TOT | MEANSCORE | A | 2009 | 498.000 | NA |
| FRA | PISASCIENCE | TOT | MEANSCORE | A | 2012 | 499.000 | NA |
| FRA | PISASCIENCE | TOT | MEANSCORE | A | 2015 | 495.000 | NA |
| FRA | PISASCIENCE | TOT | MEANSCORE | A | 2018 | 493.000 | NA |
| DEU | PISASCIENCE | TOT | MEANSCORE | A | 2006 | 516.000 | NA |
| DEU | PISASCIENCE | TOT | MEANSCORE | A | 2009 | 520.000 | NA |
| DEU | PISASCIENCE | TOT | MEANSCORE | A | 2012 | 524.000 | NA |
| DEU | PISASCIENCE | TOT | MEANSCORE | A | 2015 | 509.000 | NA |
| DEU | PISASCIENCE | TOT | MEANSCORE | A | 2018 | 503.000 | NA |
| GRC | PISASCIENCE | TOT | MEANSCORE | A | 2006 | 473.000 | NA |
| GRC | PISASCIENCE | TOT | MEANSCORE | A | 2009 | 470.000 | NA |
| GRC | PISASCIENCE | TOT | MEANSCORE | A | 2012 | 467.000 | NA |
| GRC | PISASCIENCE | TOT | MEANSCORE | A | 2015 | 455.000 | NA |
| GRC | PISASCIENCE | TOT | MEANSCORE | A | 2018 | 452.000 | NA |
| HUN | PISASCIENCE | TOT | MEANSCORE | A | 2006 | 504.000 | NA |
| HUN | PISASCIENCE | TOT | MEANSCORE | A | 2009 | 503.000 | NA |
| HUN | PISASCIENCE | TOT | MEANSCORE | A | 2012 | 494.000 | NA |
| HUN | PISASCIENCE | TOT | MEANSCORE | A | 2015 | 477.000 | NA |
| HUN | PISASCIENCE | TOT | MEANSCORE | A | 2018 | 481.000 | NA |
| ISL | PISASCIENCE | TOT | MEANSCORE | A | 2006 | 491.000 | NA |
| ISL | PISASCIENCE | TOT | MEANSCORE | A | 2009 | 496.000 | NA |
| ISL | PISASCIENCE | TOT | MEANSCORE | A | 2012 | 478.000 | NA |
| ISL | PISASCIENCE | TOT | MEANSCORE | A | 2015 | 473.000 | NA |
| ISL | PISASCIENCE | TOT | MEANSCORE | A | 2018 | 475.000 | NA |
| IRL | PISASCIENCE | TOT | MEANSCORE | A | 2006 | 508.000 | NA |
| IRL | PISASCIENCE | TOT | MEANSCORE | A | 2009 | 508.000 | NA |
| IRL | PISASCIENCE | TOT | MEANSCORE | A | 2012 | 522.000 | NA |
| IRL | PISASCIENCE | TOT | MEANSCORE | A | 2015 | 503.000 | NA |
| IRL | PISASCIENCE | TOT | MEANSCORE | A | 2018 | 496.000 | NA |
| ITA | PISASCIENCE | TOT | MEANSCORE | A | 2006 | 475.000 | NA |
| ITA | PISASCIENCE | TOT | MEANSCORE | A | 2009 | 489.000 | NA |
| ITA | PISASCIENCE | TOT | MEANSCORE | A | 2012 | 494.000 | NA |
| ITA | PISASCIENCE | TOT | MEANSCORE | A | 2015 | 481.000 | NA |
| ITA | PISASCIENCE | TOT | MEANSCORE | A | 2018 | 468.000 | NA |
| JPN | PISASCIENCE | TOT | MEANSCORE | A | 2006 | 531.000 | NA |
| JPN | PISASCIENCE | TOT | MEANSCORE | A | 2009 | 539.000 | NA |
| JPN | PISASCIENCE | TOT | MEANSCORE | A | 2012 | 547.000 | NA |
| JPN | PISASCIENCE | TOT | MEANSCORE | A | 2015 | 538.000 | NA |
| JPN | PISASCIENCE | TOT | MEANSCORE | A | 2018 | 529.000 | NA |
| KOR | PISASCIENCE | TOT | MEANSCORE | A | 2006 | 522.000 | NA |
| KOR | PISASCIENCE | TOT | MEANSCORE | A | 2009 | 538.000 | NA |
| KOR | PISASCIENCE | TOT | MEANSCORE | A | 2012 | 538.000 | NA |
| KOR | PISASCIENCE | TOT | MEANSCORE | A | 2015 | 516.000 | NA |
| KOR | PISASCIENCE | TOT | MEANSCORE | A | 2018 | 519.000 | NA |
| LUX | PISASCIENCE | TOT | MEANSCORE | A | 2006 | 486.000 | NA |
| LUX | PISASCIENCE | TOT | MEANSCORE | A | 2009 | 484.000 | NA |
| LUX | PISASCIENCE | TOT | MEANSCORE | A | 2012 | 491.000 | NA |
| LUX | PISASCIENCE | TOT | MEANSCORE | A | 2015 | 483.000 | NA |
| LUX | PISASCIENCE | TOT | MEANSCORE | A | 2018 | 477.000 | NA |
| MEX | PISASCIENCE | TOT | MEANSCORE | A | 2006 | 410.000 | NA |
| MEX | PISASCIENCE | TOT | MEANSCORE | A | 2009 | 416.000 | NA |
| MEX | PISASCIENCE | TOT | MEANSCORE | A | 2012 | 415.000 | NA |
| MEX | PISASCIENCE | TOT | MEANSCORE | A | 2015 | 416.000 | NA |
| MEX | PISASCIENCE | TOT | MEANSCORE | A | 2018 | 419.000 | NA |
| NLD | PISASCIENCE | TOT | MEANSCORE | A | 2006 | 525.000 | NA |
| NLD | PISASCIENCE | TOT | MEANSCORE | A | 2009 | 522.000 | NA |
| NLD | PISASCIENCE | TOT | MEANSCORE | A | 2012 | 522.000 | NA |
| NLD | PISASCIENCE | TOT | MEANSCORE | A | 2015 | 509.000 | NA |
| NLD | PISASCIENCE | TOT | MEANSCORE | A | 2018 | 503.000 | NA |
| NZL | PISASCIENCE | TOT | MEANSCORE | A | 2006 | 530.000 | NA |
| NZL | PISASCIENCE | TOT | MEANSCORE | A | 2009 | 532.000 | NA |
| NZL | PISASCIENCE | TOT | MEANSCORE | A | 2012 | 516.000 | NA |
| NZL | PISASCIENCE | TOT | MEANSCORE | A | 2015 | 513.000 | NA |
| NZL | PISASCIENCE | TOT | MEANSCORE | A | 2018 | 508.000 | NA |
| NOR | PISASCIENCE | TOT | MEANSCORE | A | 2006 | 487.000 | NA |
| NOR | PISASCIENCE | TOT | MEANSCORE | A | 2009 | 500.000 | NA |
| NOR | PISASCIENCE | TOT | MEANSCORE | A | 2012 | 495.000 | NA |
| NOR | PISASCIENCE | TOT | MEANSCORE | A | 2015 | 498.000 | NA |
| NOR | PISASCIENCE | TOT | MEANSCORE | A | 2018 | 490.000 | NA |
| POL | PISASCIENCE | TOT | MEANSCORE | A | 2006 | 498.000 | NA |
| POL | PISASCIENCE | TOT | MEANSCORE | A | 2009 | 508.000 | NA |
| POL | PISASCIENCE | TOT | MEANSCORE | A | 2012 | 526.000 | NA |
| POL | PISASCIENCE | TOT | MEANSCORE | A | 2015 | 501.000 | NA |
| POL | PISASCIENCE | TOT | MEANSCORE | A | 2018 | 511.000 | NA |
| PRT | PISASCIENCE | TOT | MEANSCORE | A | 2006 | 474.000 | NA |
| PRT | PISASCIENCE | TOT | MEANSCORE | A | 2009 | 493.000 | NA |
| PRT | PISASCIENCE | TOT | MEANSCORE | A | 2012 | 489.000 | NA |
| PRT | PISASCIENCE | TOT | MEANSCORE | A | 2015 | 501.000 | NA |
| PRT | PISASCIENCE | TOT | MEANSCORE | A | 2018 | 492.000 | NA |
| SVK | PISASCIENCE | TOT | MEANSCORE | A | 2006 | 488.000 | NA |
| SVK | PISASCIENCE | TOT | MEANSCORE | A | 2009 | 490.000 | NA |
| SVK | PISASCIENCE | TOT | MEANSCORE | A | 2012 | 471.000 | NA |
| SVK | PISASCIENCE | TOT | MEANSCORE | A | 2015 | 461.000 | NA |
| SVK | PISASCIENCE | TOT | MEANSCORE | A | 2018 | 464.000 | NA |
| ESP | PISASCIENCE | TOT | MEANSCORE | A | 2006 | 488.000 | NA |
| ESP | PISASCIENCE | TOT | MEANSCORE | A | 2009 | 488.000 | NA |
| ESP | PISASCIENCE | TOT | MEANSCORE | A | 2012 | 496.000 | NA |
| ESP | PISASCIENCE | TOT | MEANSCORE | A | 2015 | 493.000 | NA |
| ESP | PISASCIENCE | TOT | MEANSCORE | A | 2018 | 483.000 | NA |
| SWE | PISASCIENCE | TOT | MEANSCORE | A | 2006 | 503.000 | NA |
| SWE | PISASCIENCE | TOT | MEANSCORE | A | 2009 | 495.000 | NA |
| SWE | PISASCIENCE | TOT | MEANSCORE | A | 2012 | 485.000 | NA |
| SWE | PISASCIENCE | TOT | MEANSCORE | A | 2015 | 493.000 | NA |
| SWE | PISASCIENCE | TOT | MEANSCORE | A | 2018 | 499.000 | NA |
| CHE | PISASCIENCE | TOT | MEANSCORE | A | 2006 | 512.000 | NA |
| CHE | PISASCIENCE | TOT | MEANSCORE | A | 2009 | 517.000 | NA |
| CHE | PISASCIENCE | TOT | MEANSCORE | A | 2012 | 515.000 | NA |
| CHE | PISASCIENCE | TOT | MEANSCORE | A | 2015 | 506.000 | NA |
| CHE | PISASCIENCE | TOT | MEANSCORE | A | 2018 | 495.000 | NA |
| TUR | PISASCIENCE | TOT | MEANSCORE | A | 2006 | 424.000 | NA |
| TUR | PISASCIENCE | TOT | MEANSCORE | A | 2009 | 454.000 | NA |
| TUR | PISASCIENCE | TOT | MEANSCORE | A | 2012 | 463.000 | NA |
| TUR | PISASCIENCE | TOT | MEANSCORE | A | 2015 | 425.000 | NA |
| TUR | PISASCIENCE | TOT | MEANSCORE | A | 2018 | 468.000 | NA |
| GBR | PISASCIENCE | TOT | MEANSCORE | A | 2006 | 515.000 | NA |
| GBR | PISASCIENCE | TOT | MEANSCORE | A | 2009 | 514.000 | NA |
| GBR | PISASCIENCE | TOT | MEANSCORE | A | 2012 | 514.000 | NA |
| GBR | PISASCIENCE | TOT | MEANSCORE | A | 2015 | 509.000 | NA |
| GBR | PISASCIENCE | TOT | MEANSCORE | A | 2018 | 505.000 | NA |
| USA | PISASCIENCE | TOT | MEANSCORE | A | 2006 | 489.000 | NA |
| USA | PISASCIENCE | TOT | MEANSCORE | A | 2009 | 502.000 | NA |
| USA | PISASCIENCE | TOT | MEANSCORE | A | 2012 | 497.000 | NA |
| USA | PISASCIENCE | TOT | MEANSCORE | A | 2015 | 496.000 | NA |
| USA | PISASCIENCE | TOT | MEANSCORE | A | 2018 | 502.000 | NA |
| BRA | PISASCIENCE | TOT | MEANSCORE | A | 2006 | 390.000 | NA |
| BRA | PISASCIENCE | TOT | MEANSCORE | A | 2009 | 405.000 | NA |
| BRA | PISASCIENCE | TOT | MEANSCORE | A | 2012 | 402.000 | NA |
| BRA | PISASCIENCE | TOT | MEANSCORE | A | 2015 | 401.000 | NA |
| BRA | PISASCIENCE | TOT | MEANSCORE | A | 2018 | 404.000 | NA |
| CHL | PISASCIENCE | TOT | MEANSCORE | A | 2006 | 438.000 | NA |
| CHL | PISASCIENCE | TOT | MEANSCORE | A | 2009 | 447.000 | NA |
| CHL | PISASCIENCE | TOT | MEANSCORE | A | 2012 | 445.000 | NA |
| CHL | PISASCIENCE | TOT | MEANSCORE | A | 2015 | 447.000 | NA |
| CHL | PISASCIENCE | TOT | MEANSCORE | A | 2018 | 444.000 | NA |
| EST | PISASCIENCE | TOT | MEANSCORE | A | 2006 | 531.000 | NA |
| EST | PISASCIENCE | TOT | MEANSCORE | A | 2009 | 528.000 | NA |
| EST | PISASCIENCE | TOT | MEANSCORE | A | 2012 | 541.000 | NA |
| EST | PISASCIENCE | TOT | MEANSCORE | A | 2015 | 534.000 | NA |
| EST | PISASCIENCE | TOT | MEANSCORE | A | 2018 | 530.000 | NA |
| IDN | PISASCIENCE | TOT | MEANSCORE | A | 2006 | 393.000 | NA |
| IDN | PISASCIENCE | TOT | MEANSCORE | A | 2009 | 383.000 | NA |
| IDN | PISASCIENCE | TOT | MEANSCORE | A | 2012 | 382.000 | NA |
| IDN | PISASCIENCE | TOT | MEANSCORE | A | 2015 | 403.000 | NA |
| IDN | PISASCIENCE | TOT | MEANSCORE | A | 2018 | 396.000 | NA |
| ISR | PISASCIENCE | TOT | MEANSCORE | A | 2006 | 454.000 | NA |
| ISR | PISASCIENCE | TOT | MEANSCORE | A | 2009 | 455.000 | NA |
| ISR | PISASCIENCE | TOT | MEANSCORE | A | 2012 | 470.000 | NA |
| ISR | PISASCIENCE | TOT | MEANSCORE | A | 2015 | 467.000 | NA |
| ISR | PISASCIENCE | TOT | MEANSCORE | A | 2018 | 462.000 | NA |
| LVA | PISASCIENCE | TOT | MEANSCORE | A | 2006 | 490.000 | NA |
| LVA | PISASCIENCE | TOT | MEANSCORE | A | 2009 | 494.000 | NA |
| LVA | PISASCIENCE | TOT | MEANSCORE | A | 2012 | 502.000 | NA |
| LVA | PISASCIENCE | TOT | MEANSCORE | A | 2015 | 490.000 | NA |
| LVA | PISASCIENCE | TOT | MEANSCORE | A | 2018 | 487.000 | NA |
| RUS | PISASCIENCE | TOT | MEANSCORE | A | 2006 | 478.000 | NA |
| RUS | PISASCIENCE | TOT | MEANSCORE | A | 2009 | 486.000 | NA |
| RUS | PISASCIENCE | TOT | MEANSCORE | A | 2012 | 487.000 | NA |
| RUS | PISASCIENCE | TOT | MEANSCORE | A | 2018 | 478.000 | NA |
| SGP | PISASCIENCE | BOY | MEANSCORE | A | 2015 | 559.000 | NA |
| SGP | PISASCIENCE | GIRL | MEANSCORE | A | 2015 | 552.000 | NA |
| SVN | PISASCIENCE | TOT | MEANSCORE | A | 2006 | 519.000 | NA |
| SVN | PISASCIENCE | TOT | MEANSCORE | A | 2009 | 512.000 | NA |
| SVN | PISASCIENCE | TOT | MEANSCORE | A | 2012 | 514.000 | NA |
| SVN | PISASCIENCE | TOT | MEANSCORE | A | 2015 | 513.000 | NA |
| SVN | PISASCIENCE | TOT | MEANSCORE | A | 2018 | 507.000 | NA |
| OAVG | PISASCIENCE | TOT | MEANSCORE | A | 2006 | 498.000 | NA |
| OAVG | PISASCIENCE | TOT | MEANSCORE | A | 2009 | 501.000 | NA |
| OAVG | PISASCIENCE | TOT | MEANSCORE | A | 2012 | 501.000 | NA |
| OAVG | PISASCIENCE | TOT | MEANSCORE | A | 2015 | 493.000 | NA |
| OAVG | PISASCIENCE | TOT | MEANSCORE | A | 2018 | 489.000 | NA |
| COL | PISASCIENCE | TOT | MEANSCORE | A | 2015 | 416.000 | NA |
| COL | PISASCIENCE | TOT | MEANSCORE | A | 2018 | 413.000 | NA |
| COL | PISASCIENCE | BOY | MEANSCORE | A | 2015 | 421.000 | NA |
| COL | PISASCIENCE | BOY | MEANSCORE | A | 2018 | 420.000 | NA |
| COL | PISASCIENCE | GIRL | MEANSCORE | A | 2015 | 411.000 | NA |
| COL | PISASCIENCE | GIRL | MEANSCORE | A | 2018 | 407.000 | NA |
| HKG | PISASCIENCE | TOT | MEANSCORE | A | 2015 | 523.000 | NA |
| HKG | PISASCIENCE | BOY | MEANSCORE | A | 2015 | 523.000 | NA |
| HKG | PISASCIENCE | GIRL | MEANSCORE | A | 2015 | 524.000 | NA |
| PER | PISASCIENCE | TOT | MEANSCORE | A | 2015 | 397.000 | NA |
| PER | PISASCIENCE | BOY | MEANSCORE | A | 2015 | 402.000 | NA |
| PER | PISASCIENCE | GIRL | MEANSCORE | A | 2015 | 392.000 | NA |
| SGP | PISASCIENCE | TOT | MEANSCORE | A | 2015 | 556.000 | NA |
| TWN | PISASCIENCE | TOT | MEANSCORE | A | 2015 | 532.000 | NA |
| TWN | PISASCIENCE | BOY | MEANSCORE | A | 2015 | 535.000 | NA |
| TWN | PISASCIENCE | GIRL | MEANSCORE | A | 2015 | 530.000 | NA |
| MAC | PISASCIENCE | TOT | MEANSCORE | A | 2015 | 529.000 | NA |
| MAC | PISASCIENCE | BOY | MEANSCORE | A | 2015 | 525.000 | NA |
| MAC | PISASCIENCE | GIRL | MEANSCORE | A | 2015 | 532.000 | NA |
| CRI | PISASCIENCE | TOT | MEANSCORE | A | 2018 | 416.000 | NA |
| CRI | PISASCIENCE | BOY | MEANSCORE | A | 2018 | 420.000 | NA |
| CRI | PISASCIENCE | GIRL | MEANSCORE | A | 2018 | 411.000 | NA |
| LTU | PISASCIENCE | TOT | MEANSCORE | A | 2018 | 482.000 | NA |
| LTU | PISASCIENCE | BOY | MEANSCORE | A | 2018 | 479.000 | NA |
| LTU | PISASCIENCE | GIRL | MEANSCORE | A | 2018 | 485.000 | NA |
Για να απαντήσουμε το παραπάνω ερώτημα θα σχεδιάσουμε τα γραφήματα πυκνότητας πιθανότητας για τα διάφορα αντικείμενα εξέτασης.
Σε πρώτη φάση θα εξετάσουμε τα Μαθηματικά, με την Ελλάδα να ξεχωρίζει από τις υπόλοιπες έχοντας χρωματιστεί μπλε. Ο οριζόντιος άξονας δείχνει τις βαθμολογίες στα Μαθηματικά και η καμπύλη υποδεικνύει πόσες πολλές φορές επιτεύχθηκε αυτή η βαθμολογία. Υπενθυμίζουμε ότι το εμβαδόν που περικλείεται πάνω από ένα τμήμα μετρήσεων και κάτω από ένα τμήμα του γραφήματος ισούται με το ποσοστό των μετρήσεων αυτών σε σχέση το σύνολο των αποτελεσμάτων τους. Σε απλά ελληνικά: όσο πιο ψηλό είναι το γράφημα πάνω από μια περιοχή, τόσο περισσότερο εμφανίζονται τα αποτελέσματα της περιοχής αυτής στο δείγμα μας. Έτσι, όσον αφορά την Ελλάδα, οι περισσότερες βαθμολογίες είναι λίγο μετά το 450 και γύρω από αυτό.

Για τον αναγνώστη που θα ήθελε κάποια πιο συγκεκριμένα συμπεράσματα παραθέτουμε και τα θηκογράμματα των αποτελεσμάτων. Και πάλι με μπλε έχει σημειωθεί η Ελλάδα, για να ξεχωρίζει. Όσον αφορά αυτά, υπενθυμίζουμε ότι το κουτάκι του καθενός περιλαμβάνει το κεντρικό 50% των αποτελεσμάτων των βαθμολογιών. Η δε γραμμή μέσα στο κουτάκι χωρίζει τις βαθμολογίες σε δύο ίσα μέρη: οι μισές είναι αριστερά αυτής και οι άλλες μισές δεξιά της. Τέλος, οι γραμμούλες που προεξέχουν δείχνουν την έκταση όλων των αποτελεσμάτων, με εξαίρεση ίσως κάποια σημεία με πολύ ακραίες τιμές, κάποιες βαθμολογίες που ήταν εξωφρενικά χαμηλές ή εξαιρετικά υψηλές σε σχέση με τις υπόλοιπες.

Και από τις δύο ομάδες γραφημάτων παρατηρούμε μιαν απόκλιση μεταξύ των αποτελεσμάτων των διαφόρων χωρών. Υπάρχει κάποιος τρόπος να ελέγξουμε αν διαφοροποιούνται ουσιαστικά οι χώρες μεταξύ τους ως προς τα αποτελέσματα; Θα το εξετάσουμε υποθέτοντας ότι δεν έχουν καμία διαφορά και κατόπιν εξετάζοντας πόσο πιθανό θα ήταν να συναντήσουμε τις διαφορές που βλέπουμε. Ο έλεγχος Kruskal-Wallis δίνει p-τιμή εξαιρετικά μικρή, όπερ σημαίνει ότι θα ήταν εντελώς απίθανο να τύχουμε τα αποτελέσματα που βλέπουμε, αν όντως δεν είχαν οι χώρες καμιά διαφορά μεταξύ τους. Συμπερασματικά, οι χώρες όντως διαφέρουν ως προς τα αποτελέσματα στα Μαθηματικά.
##
## Kruskal-Wallis rank sum test
##
## data: MATH by LOCATION
## Kruskal-Wallis chi-squared = 181.89, df = 46, p-value < 2.2e-16
Δείξαμε ότι διαφέρουν οι χώρες εν γένει, όμως κάποιες χώρες ίσως να
μην έχουν τόσο μεγάλη διαφορά μεταξύ τους. Αυτό θα δημιουργεί κάποιες
ομάδες χωρών, κάποιες ομάδες που οι χώρες τους θα είναι κοντά η μία με
την άλλη και μακριά από τις χώρες άλλων ομάδων. Συνεπώς θα σχεδιάσουμε
τη μήτρα απόστασης και το αντίστοιχο δεντρόγραμμα. Από αυτό βλέπουμε ότι
η Ελλάδα (GRC) σχηματίζει μια ομάδα με το Ισραήλ
(ISR) και την Τουρκία (TUR), ενώ βρίσκεται πιο
απόμακρα από την Ιταλία (ITA), η οποία σχηματίζει δικιά της
ομάδα με την Πορτογαλία (PRT), το Λουξεμβούργο
(LUX) κ.τ.λ.

Ο αναγνώστης μπορεί να αναρωτηθεί (και δικαίως) «Πώς μετρήσαμε τις αποστάσεις των βαθμολογιών;». Στην παρούσα ανάρτηση η απόσταση μεταξύ των χωρών είναι η ευκλείδεια. Θεωρήσαμε κάθε χώρα σαν ένα σημείο στο χώρο (5 διαστάσεων) και πήραμε την απόστασή του από τα υπόλοιπα σημεία-χώρες. Ο αναγνώστης που θα θεωρήσει αυτόν τον υπολογισμό αυθαίρετο ή αστήρικτο, μπορεί να τροποποιήσει τον κώδικα, ώστε να εισάγει μια δικιά του μετρική. Μια ιδέα θα ήταν να τροποποιήσει κάποια μέτρα συσχέτισης, με τρόπο που να μετράνε αποστάσεις (μεγάλη συσχέτιση = μικρή απόσταση).
Αν μελετήσουμε ξεχωριστά τα αγόρια, βλέπουμε και πάλι διαφοροποιήσεις μεταξύ των χωρών. Δεν φαίνεται να έχουν παρόμοια επίδοση τα αγόρια όλων των χωρών.


Ο έλεγχος Kruskal-Wallis και πάλι βγάζει απειροελάχιστη p-τιμή εξαναγκάζοντας μας να απορρίψουμε την υπόθεση ότι τα αγόρια δεν έχουν καμία διαφορά από χώρα σε χώρα.
##
## Kruskal-Wallis rank sum test
##
## data: MATH by LOCATION
## Kruskal-Wallis chi-squared = 176.33, df = 46, p-value < 2.2e-16
Στην περίπτωση, τώρα, των αγοριών φαίνεται η Ελλάδα
(GRC) να είναι κοντά στο Μεξικό (MEX) και τη
Χιλή (CHL), πέραν της Τουρκίας (TUR) και του
Ισραήλ (ISR) που είχαμε βρει ότι η Χώρα σαν σύνολο έχει
σχέση.

Τέλος, αν εξειδικεύσουμε τη μελέτη μας αυτή τη φορά στα κορίτσια, τότε παρατηρούμε την ίδια κατάσταση που παρατηρούσαμε και στα συνολικά αποτελέσματα, τουλάχιστον όσον αφορά την Ελλάδα.


Και πάλι τα γραφήματα πυκνότητας πιθανότητας και τα θηκογράμματα δείχνουν ότι υπάρχουν διαφοροποιήσεις μεταξύ των κοριτσιών από χώρα σε χώρα, το οποίο ακόμα μια φορά επαληθεύεται από τον έλεγχο Kruskal-Wallis.
##
## Kruskal-Wallis rank sum test
##
## data: MATH by LOCATION
## Kruskal-Wallis chi-squared = 182.21, df = 46, p-value < 2.2e-16
Το δεντρόγραμμα και η μήτρα αποστάσεων δείχνουν εγγύτητα μεταξύ
Ελλάδας (GRC), Τουρκίας (TUR) και Ισραήλ
(ISR), όπως είχε και το συνολικό αποτέλεσμα της Χώρας.

Μιλώντας για την εξέταση στις Φυσικές Επιστήμες σε πρώτη φάση δεν έχουμε κάτι καινούριο: πάλι διαπιστώνουμε γραφικά ότι υπάρχουν διαφορές μεταξύ των χωρών.


Και πάλι ο έλεγχος Kruskal-Wallis μας δείχνει ότι είναι εντελώς απίθανο να μην έχουν διαφορά οι χώρες ως προς τις επιδόσεις τους σε αυτή την εξέταση.
##
## Kruskal-Wallis rank sum test
##
## data: SCIENCE by LOCATION
## Kruskal-Wallis chi-squared = 182.26, df = 46, p-value < 2.2e-16
Αυτή τη φορά, όμως, η Ελλάδα (GRC) σαν σύνολο (αγόρια
και κορίτσια μαζί) φαίνεται να έχει ξανά εγγύτητα με την Τουρκία
(TUR) και με το Ισραήλ (ISR), αλλά πλέον και
με τη Χιλή (CHL).

Τα αγόρια δεν δείχνουν κάποια διαφορετική εικόνα από αυτή που είχε το σύνολο.


Αυτό επιβεβαιώνεται τόσο από τον έλεγχο Kruskal-Wallis:
##
## Kruskal-Wallis rank sum test
##
## data: SCIENCE by LOCATION
## Kruskal-Wallis chi-squared = 178.52, df = 46, p-value < 2.2e-16
όσο και από το δεντρόγραμμα και τη μήτρα αποστάσεων:

Τα κορίτσια κι αυτά δεν έχουν να δείξουν κάτι ξεχωριστό.


##
## Kruskal-Wallis rank sum test
##
## data: SCIENCE by LOCATION
## Kruskal-Wallis chi-squared = 181.4, df = 46, p-value < 2.2e-16
Δεν έχουν κάτι το ξεχωριστό, τουλάχιστον πέραν του ότι δείχνουν μια
εγγύτητα με τα κορίτσια του Ισραήλ (ISR) και της Σλοβακίας
(SVK), παρά με την Τουρκία (TUR) και τη Χιλή
(CHL) που πλέον σχηματίζουν μια δική τους ομάδα μόνες
τους.

Διαφοροποιήσεις μεταξύ των χωρών διαπιστώνονται και στην εξέταση Κατανόησης Κειμένου, τόσο γραφικά, όσο και μέσω στατιστικού ελέγχου.


##
## Kruskal-Wallis rank sum test
##
## data: READING by LOCATION
## Kruskal-Wallis chi-squared = 175.86, df = 46, p-value < 2.2e-16
Αλλάζει όμως η σύνθεση της ομάδας που ανήκει η χώρα μας
(GRC). Έχουμε αρκετή εγγύτητα με το Ισραήλ
(ISR), λίγο μικρότερη με τη Σλοβακία (SVK),
αλλά φαίνεται να σχετιζόμαστε και με την Τουρκία (TUR) και
τη Χιλή (CHL).

Τα ίδια μπορούν να ειπωθούν και για την περίπτωση των αγοριών της κάθε χώρας. Για ακόμα μία φορά εντοπίζονται διαφοροποιήσεις μεταξύ των χωρών, ορατές γραφικά και επαληθεύσιμες από στατιστικό έλεγχο.


##
## Kruskal-Wallis rank sum test
##
## data: READING by LOCATION
## Kruskal-Wallis chi-squared = 171.2, df = 46, p-value = 2.599e-16
Επίσης, όμως, και η σύνθεση της ομάδας είναι ίδια με αυτή στην οποία
συνεξετάζονταν αγόρια και κορίτσια. Αν και αυτή τη φορά φαίνεται να
βρισκόμαστε πιο κοντά με τη Σλοβακία (SVK) και ν’
ακολουθούν οι υπόλοιπες.

Όσον αφορά τα κορίτσια πάλι διαπιστώνουμε διαφορές μεταξύ των χωρών, αν και πλέον τα ελληνόπουλα φαίνονται πιο αναμεμειγμένα με τις υψηλές βαθμολογίες.


##
## Kruskal-Wallis rank sum test
##
## data: READING by LOCATION
## Kruskal-Wallis chi-squared = 171.7, df = 46, p-value < 2.2e-16
Η έντονη διαφοροποίηση έρχεται βλέποντας τις συγγένειες που έχουν τα
κορίτσια μας. Στην περίπτωση αυτή τα κορίτσια της Ελλάδας
(GRC) έχουν μεγαλύτερη εγγύτητα με τα κορίτσια του
Λουξεμβούργου (LUX), της Πορτογαλίας (PRT) της
Ουγγαρίας (HUN) και της Ιταλίας (ITA). Η
Τουρκία (TUR), το Ισραήλ (ISR) και η Σλοβακία
(SVK) είναι πλέον σε μία διαφορετική ομάδα, λίγο πιο μακριά
απο τη δικιά μας.

Εξετάσαμε προηγουμένως το αν υπάρχουν διαφορές μεταξύ των χωρών. Τι γίνεται όμως όσον αφορά εμάς; Εμείς διαφέρουμε σε σχέση με τα υπόλοιπα αποτελέσματα ή είμαστε ένα αντιπροσωπευτικό δείγμα τους;
Συγκρίνουμε αρχικά τα αποτελέσματα της Ελλάδας με τα αποτελέσματα των υπολοίπων αντιπαραβάλλοντας το γράφημα πυκνότητας πιθανότητας της Ελλάδας με αυτό των υπόλοιπων βαθμολογιών. Και στα τρία εξεταζόμενα αντικείμενα (Μαθηματικά, Φυσικές Επιστήμες και Κατανόηση Κειμένου) παρατηρούμε μιαν υστέρηση της Ελλάδας.

Αυτό φαίνεται καθαρότερα αν αντιπαραβάλλουμε τα θηκογράμματα, όπου βλέπουμε ότι σχεδόν όλα τα ελληνικά αποτελέσματα βρίσκονται κάτω από το κεντρικό 50% των βαθμολογιών των υπολοίπων χωρών.

Τα παραπάνω επιβεβαιώνονται και με τρεις ελέγχους Wilcoxon, οι οποίοι βγάζουν p-τιμές 0.009842 στα Μαθηματικά, 0.01167 στις Φυσικές Επιστήμες και 0.02999 στην Κατανόηση Κειμένου. Δηλαδή, σε κάθε περίπτωση το να μην διαφοροποιείται η Ελλάδα από τις υπόλοιπες χώρες θα έκανε τα αποτελέσματα που παρατηρούμε να είναι σπανιότατα, αφού θα ήταν λιγότερο από 5% πιθανά.
##
## Wilcoxon rank sum test with continuity correction
##
## data: MATH by isGR
## W = 155.5, p-value = 0.009842
## alternative hypothesis: true location shift is not equal to 0
##
## Wilcoxon rank sum test with continuity correction
##
## data: SCIENCE by isGR
## W = 163, p-value = 0.01167
## alternative hypothesis: true location shift is not equal to 0
##
## Wilcoxon rank sum test with continuity correction
##
## data: READING by isGR
## W = 207.5, p-value = 0.02999
## alternative hypothesis: true location shift is not equal to 0
Για το μέγεθος της επίδρασης του παράγοντα «ελληνικά γραπτά ή όχι» έχουμε τα παρακάτω:
##
## Cohen's d
##
## d estimate: -0.7576296 (medium)
## 95 percent confidence interval:
## lower upper
## -1.6540992 0.1388401
## # A tibble: 1 × 7
## .y. group1 group2 effsize n1 n2 magnitude
## * <chr> <chr> <chr> <dbl> <int> <int> <ord>
## 1 MATH gr not_gr 0.184 5 193 small
##
## Cohen's d
##
## d estimate: -0.7552178 (medium)
## 95 percent confidence interval:
## lower upper
## -1.6516674 0.1412319
## # A tibble: 1 × 7
## .y. group1 group2 effsize n1 n2 magnitude
## * <chr> <chr> <chr> <dbl> <int> <int> <ord>
## 1 SCIENCE gr not_gr 0.180 5 193 small
##
## Cohen's d
##
## d estimate: -0.5267359 (medium)
## 95 percent confidence interval:
## lower upper
## -1.4215796 0.3681078
## # A tibble: 1 × 7
## .y. group1 group2 effsize n1 n2 magnitude
## * <chr> <chr> <chr> <dbl> <int> <int> <ord>
## 1 READING gr not_gr 0.155 5 193 small
Δεδομένης της μη κανονικότητας του πληθυσμού (βλ. παρακάτω), θα πρέπει να αποδεχτούμε τις γνωματεύσεις του Wilcoxon περί μικρού μεγέθους επίδρασης. Εν κατακλείδι, ναι μεν το ότι μιλάμε για ελληνόπουλα σίγουρα έχει αυτό επίδραση στους βαθμούς των εξεταζομένων αντικειμένων που θα δούμε (έλεγχος Wilcoxon), αλλά από την άλλη, η επίδραση αυτή είναι μικρή (r του Wilcoxon).
Στην περίπτωση της Κατανόησης Κειμένου η Ελλάδα έπιανε δειλά-δειλά το κάτω μέρος του κεντρικού 50% των υπολοίπων βαθμολογιών. Εξειδικεύοντας όμως τη μελέτη μας στα αγόρια, τα πράγματα γίνονται ακόμα χειρότερα. Πλέον είμαστε πάντοτε κάτω από το κεντρικό 50% των βαθμολογιών των υπολοίπων χωρών. Οριακά παλεύουμε να μην πεταχτούμε στα απομονωμένα σημεία.


Ο έλεγχος Wilcoxon έρχεται να επιβεβαιώσει αυτό που βλέπουμε με τα ίδια μας τα μάτια. Υποθέτοντας ότι τα αγόρια μας δεν έχουν καμιά διαφορά από τα άλλα αγόρια θα πρέπει να θεωρήσουμε ότι τα αποτελέσματά τους ήταν το αποτέλεσμα μιας εξαιρετικά σπάνιας σατανικής τύχης, καθόσον οι p-τιμές προκύπτουν 0.01063 για τα Μαθηματικά (δηλαδή περίπου 1% πιθανό να τύχουμε τέτοιο αποτέλεσμα), 0.008143 για τις Φυσικές Επιστήμες (δηλαδή περίπου 0.8% πιθανό να τύχουμε τέτοιο αποτέλεσμα) και 0.01407 για την Κατανόηση Κειμένου (δηλαδή περίπου 1.4% πιθανό να τύχουμε τέτοιο αποτέλεσμα).
##
## Wilcoxon rank sum test with continuity correction
##
## data: MATH by isGR
## W = 158, p-value = 0.01063
## alternative hypothesis: true location shift is not equal to 0
##
## Wilcoxon rank sum test with continuity correction
##
## data: SCIENCE by isGR
## W = 146.5, p-value = 0.008143
## alternative hypothesis: true location shift is not equal to 0
##
## Wilcoxon rank sum test with continuity correction
##
## data: READING by isGR
## W = 170.5, p-value = 0.01407
## alternative hypothesis: true location shift is not equal to 0
Από την άλλη όμως, το μέγεθος της επίδρασης φαίνεται και πάλι να είναι μικρό, σύμφωνα με το r του Wilcoxon (0.182 στα Μαθηματικά, 0.189 στις Φυσικές Επιστήμες και 0.175 στην Κατανόηση Κειμένου). Τα d του Cohen είναι πιο αμείλικτα (-0.8029456, -0.9266587 και -0.7649634 αντίστοιχα), αλλά άπτεται στον αναγνώστη αν θα τα αποδεχτεί.
##
## Cohen's d
##
## d estimate: -0.8029456 (large)
## 95 percent confidence interval:
## lower upper
## -1.69990760 0.09401633
## # A tibble: 1 × 7
## .y. group1 group2 effsize n1 n2 magnitude
## * <chr> <chr> <chr> <dbl> <int> <int> <ord>
## 1 MATH gr not_gr 0.182 5 192 small
##
## Cohen's d
##
## d estimate: -0.9266587 (large)
## 95 percent confidence interval:
## lower upper
## -1.82479745 -0.02852004
## # A tibble: 1 × 7
## .y. group1 group2 effsize n1 n2 magnitude
## * <chr> <chr> <chr> <dbl> <int> <int> <ord>
## 1 SCIENCE gr not_gr 0.189 5 192 small
##
## Cohen's d
##
## d estimate: -0.7649634 (medium)
## 95 percent confidence interval:
## lower upper
## -1.6615976 0.1316708
## # A tibble: 1 × 7
## .y. group1 group2 effsize n1 n2 magnitude
## * <chr> <chr> <chr> <dbl> <int> <int> <ord>
## 1 READING gr not_gr 0.175 5 192 small
Όσον αφορά τα κορίτσια, τα πράγματα δεν είναι πιο ενθαρρυντικά στα Μαθηματικά και τις Φυσικές Επιστήμες. Φαίνονται όμως καλύτερα στην περίπτωση της Κατανόησης Κειμένου. Εκεί το δικό μας κεντρικό 50% έχει αρκετά κοινά σημεία με το κεντρικό 50% των βαθμολογιών των άλλων χωρών.


Αυτά φαίνονται να επιβεβαιώνονται και από τους ελέγχους Wilcoxon, αφού για τα Μαθηματικά και τις Φυσικές Επιστήμες προκύπτουν p-τιμές 0.01039 και 0.01907 αντίστοιχα. Από την άλλη, για την Κατανόηση Κειμένου η p-τιμή είναι 0.05498, που σημαίνει ότι το δείγμα μας δεν είναι τόσο σπάνιο, αν παραδεχτούμε ότι τα κορίτσια μας δεν διαφέρουν από τα υπόλοιπα κορίτσια στην Κατανόηση Κειμένου. Οπότε δεν μπορούμε να απορρίψουμε ως απίθανο το ενδεχόμενο να μην διαφοροποιούνται από τα υπόλοιπα.
##
## Wilcoxon rank sum test with continuity correction
##
## data: MATH by isGR
## W = 157, p-value = 0.01039
## alternative hypothesis: true location shift is not equal to 0
##
## Wilcoxon rank sum test with continuity correction
##
## data: SCIENCE by isGR
## W = 184.5, p-value = 0.01907
## alternative hypothesis: true location shift is not equal to 0
##
## Wilcoxon rank sum test with continuity correction
##
## data: READING by isGR
## W = 238, p-value = 0.05498
## alternative hypothesis: true location shift is not equal to 0
Τα r του Wilcoxon δίνουν και πάλι μια αισιόδοξη νότα, μιας και προκύπτουν 0.183, 0.167 και 0.137 για τα Μαθηματικά, τις Φυσικές Επιστήμες και την Κατανόηση Κειμένου αντίστοιχα. Φαίνεται πως και στα κορίτσια, το γεγονός ότι μιλάμε για ελληνόπουλα ασκεί σίγουρα επίδραση στο τι βαθμούς θα δούμε μπροστά μας, αλλά αυτή η επίδραση είναι μικρή. Τα d του Cohen φαίνεται πάλι να βλέπουν πιο μίζερα τα πράγματα, αλλά με πιο μετριασμένη αρνητική διάθεση ειδικά στην περίπτωση της Κατανόησης Κειμένου (οι τιμές είναι -0.7037696, -0.5847282 και -0.3188085)
##
## Cohen's d
##
## d estimate: -0.7037696 (medium)
## 95 percent confidence interval:
## lower upper
## -1.5999088 0.1923697
## # A tibble: 1 × 7
## .y. group1 group2 effsize n1 n2 magnitude
## * <chr> <chr> <chr> <dbl> <int> <int> <ord>
## 1 MATH gr not_gr 0.183 5 192 small
##
## Cohen's d
##
## d estimate: -0.5847282 (medium)
## 95 percent confidence interval:
## lower upper
## -1.4800222 0.3105658
## # A tibble: 1 × 7
## .y. group1 group2 effsize n1 n2 magnitude
## * <chr> <chr> <chr> <dbl> <int> <int> <ord>
## 1 SCIENCE gr not_gr 0.167 5 192 small
##
## Cohen's d
##
## d estimate: -0.3188085 (small)
## 95 percent confidence interval:
## lower upper
## -1.2127768 0.5751599
## # A tibble: 1 × 7
## .y. group1 group2 effsize n1 n2 magnitude
## * <chr> <chr> <chr> <dbl> <int> <int> <ord>
## 1 READING gr not_gr 0.137 5 192 small
Είδαμε πριν ότι τα κορίτσια της Ελλάδας, σε αντίθεση με τα αγόρια, δεν είχαν μεγάλη απόκλιση από τα κορίτσια των υπόλοιπων χωρών. Αυτό δείχνει μια διαφοροποίηση μεταξύ αγοριών και κοριτσιών, πράγμα που μας ωθεί να τα συγκρίνουμε μεταξύ τους. Τα γραφήματα πυκνότητας πιθανότητας είναι παρόμοια μεταξύ αγοριών και κοριτσιών στα αντικείμενα των Μαθηματικών και των Φυσικών Επιστημών.

Παρατηρώντας και τα θηκογράμματα βλέπουμε κι από κει ότι δεν έχουν διαφορές αγόρια και κορίτσια στα Μαθηματικά και τις Φυσικές Επιστήμες.

Αντίθετα με τα Μαθηματικά και τις Φυσικές Επιστήμες, στην Κατανόηση Κειμένου οι διαφορές είναι εξόφθαλμες. Τα αγόρια είναι εμφανώς πιο κάτω από τα κορίτσια. Τα θηκογράμματα είναι ακόμα πιο αμείλικτα στην επισήμανση της διαφοροποίησης: το κεντρικό 50% των αγορίστικων βαθμολογιών είναι εξ ολοκλήρου κάτω από το κεντρικό 50% των κοριτσίστικων βαθμολογιών.
Βάζοντας στο παιχνίδι και τους ελέγχους Wilcoxon βλέπουμε και πράγματα που δεν είδαμε με την πρώτη ματιά. Στις Φυσικές Επιστήμες όντως δεν μπορούμε να αποδείξουμε την ύπαρξη διαφοροποιήσεων, αφού εξάγεται p-τιμή 0.6271, ήτοι εμφανώς παραπάνω από το 5%. Ομοίως και στην Κατανόηση Κειμένου δεν έχουμε κάτι καινούριο, μιας κι έχουμε p-τιμή εξαιρετικά μικρή. Όσον αφορά τα Μαθηματικά, όμως, η αρχική μας εντύπωση αποδεικνύεται εσφαλμένη. Το να υποθέσουμε ότι αγόρια και κορίτσια είναι ισάξια στα Μαθηματικά θα έκανε εξαιρετικά απίθανα τα αποτελέσματα που βλέπουμε. Η p-τιμή είναι 0.001631 κι αυτό σημαίνει ότι θα ήταν μόνο 0.2% πιθανό να τύχουμε τέτοιες διαφορές, αν δεν διαφοροποιούνταν αγόρια και κορίτσια στα Μαθηματικά. Τελικά τα αγόρια φαίνονται να είναι καλύτερα στα Μαθηματικά από τα κορίτσια.
##
## Wilcoxon rank sum test with continuity correction
##
## data: MATH by SUBJECT
## W = 22966, p-value = 0.001631
## alternative hypothesis: true location shift is not equal to 0
##
## Wilcoxon rank sum test with continuity correction
##
## data: SCIENCE by SUBJECT
## W = 19954, p-value = 0.6271
## alternative hypothesis: true location shift is not equal to 0
##
## Wilcoxon rank sum test with continuity correction
##
## data: READING by SUBJECT
## W = 7401.5, p-value < 2.2e-16
## alternative hypothesis: true location shift is not equal to 0
Ερευνώντας το μέγεθος της επίδρασης, βλέπουμε πως στα Μαθηματικά είναι υπαρκτό ναι μεν, αλλά μικρό δε (r Wilcoxon = 0.159). Ακόμα και ο κακός της υπόθεσης, το d του Cohen (0.2188504), δίνει ότι το μέγεθος της επίδρασης του φύλου στις βαθμολογίες στα Μαθηματικά είναι μικρό. Στις Φυσικές Επιστήμες δεν εντοπίστηκε διαφορά, οπότε δεν έχει νόημα να ψάξουμε το μέγεθος της επίδρασης του φύλου (αφού δεν επιδρά). Τέλος, στην περίπτωση της Κατανόησης Κειμένου το μέγεθος επίδρασης του φύλου είναι μεγάλο και κατά το r του Wilcoxon (0.535) και κατά το d του Cohen (-0.9966808). Φαίνεται πως στο ζήτημα του λόγου το φύλο έχει σημαντική επίδραση.
##
## Cohen's d
##
## d estimate: 0.2188504 (small)
## 95 percent confidence interval:
## lower upper
## 0.02016359 0.41753727
## # A tibble: 1 × 7
## .y. group1 group2 effsize n1 n2 magnitude
## * <chr> <chr> <chr> <dbl> <int> <int> <ord>
## 1 MATH BOY GIRL 0.159 197 197 small
##
## Cohen's d
##
## d estimate: 0.02667957 (negligible)
## 95 percent confidence interval:
## lower upper
## -0.1714240 0.2247831
## # A tibble: 1 × 7
## .y. group1 group2 effsize n1 n2 magnitude
## * <chr> <chr> <chr> <dbl> <int> <int> <ord>
## 1 SCIENCE BOY GIRL 0.0245 197 197 small
##
## Cohen's d
##
## d estimate: -0.9966808 (large)
## 95 percent confidence interval:
## lower upper
## -1.2067146 -0.7866469
## # A tibble: 1 × 7
## .y. group1 group2 effsize n1 n2 magnitude
## * <chr> <chr> <chr> <dbl> <int> <int> <ord>
## 1 READING BOY GIRL 0.535 197 197 large
Είδαμε ότι αγόρια και κορίτσια έχουν διαφορές. Αυτό σημαίνει ότι δεν έχουν καμία σχέση; Σημαίνει ότι ένα δύσκολο θέμα στα αγόρια μπορεί να θεωρείται εύκολο στα κορίτσια ή το αντίστροφο; Ή μήπως τα εύκολα για τους μεν είναι κι εύκολα για τους δε; Για να απαντήσουμε τα παραπάνω ερωτήματα θα συσχετίσουμε τις επιδώσεις των αγοριών με τις επιδώσεις των κοριτσιών σε κάθε χώρα. Δηλαδή υπάρχει σχέση μεταξύ αγοριών και κοριτσιών όταν υπόκεινται στις ίδιες συνθήκες χώρας και έτους;
Κάνοντας το διάγραμμα διασποράς και την καμπύλη τοπικής παλινδρόμησηςγια τις βαθμολογίες αγοριών-κοριτσιών στα Μαθηματικά βλέπουμε σχεδόν έκπληκτοι μια ευθυγράμμιση των τιμών τους. Τόσο έντονη συσχέτιση ομολογουμένως δεν περιμέναμε, οπότε, τρίβοντας ακόμα τα μάτια μας, υπολογίσαμε τον συντελεστή γραμμικής συσχέτισης Pearson. Αυτός βγήκε 0.9837756, πράγμα που επιβεβαιώνει την πολύ ισχυρή γραμμική συσχέτιση που είδαμε οπτικά.

Τα ίδια συμπεραίνουμε και στην εξέταση στις Φυσικές Επιστήμες και στην Κατανόηση Κειμένου. Τα γραφήματα διασποράς και οι καμπύλες τοπικής παλινδρόμησης είναι και πάλι σχεδόν ευθείες γραμμές. Οι δε συντελεστές Pearson είναι κι αυτοί κοντά στο 1 (0.9802059 και 0.9535781 αντίστοιχα), πράγμα που υποδηλώνει και πάλι πολύ ισχυρή γραμμική συσχέτιση.


Είδαμε ότι τα αγόρια πήγαιναν καλύτερα από τα κορίτσια στα Μαθηματικά, ενώ το αντίστροφο συνέβαινε στην Κατανόηση Κειμένου. Αυτό σημαίνει ότι ίσως να υπάρχει μια διαφοροποίηση και μεταξύ των αντικειμένων. Αυτό θα εξετάσουμε εδώ καλύτερα.

Εξετάζοντας τα παραπάνω θηκογράμματα, δεν φαίνεται κάποια διαφοροποίηση στις επιδόσεις ανάμεσα στα διάφορα αντικείμενα. Μήπως όμως υπάρχουν διαφοροποιήσεις, όχι όμως ορατές δια γυμνού οφθαλμού; Θα θεωρήσουμε ότι δεν έχουν διαφορές οι βαθμολογίες μεταξύ των αντικειμένων και κατόπιν, εκτελώντας έναν έλεγχο Kruskal-Wallis, θα δούμε πόσο πιθανόν θα ήταν να συναντήσουμε δείγματα τόσο διαφοροποιημένα, όσο τα δικά μας. Η p-τιμή προκύπτει 0.1053, άρα δεν μπορούμε να θεωρήσουμε απίθανο το ενδεχόμενο να μην έχουν διαφορές οι βαθμολογίες των αντικειμένων, άρα δεν μπορούμε να το απορρίψουμε.
##
## Kruskal-Wallis rank sum test
##
## data: Value by TYPE_exam
## Kruskal-Wallis chi-squared = 4.5024, df = 2, p-value = 0.1053
Είδαμε στην άλλη ενότητα ότι δεν εμφανίζονται διαφορές στις βαθμολογίες μεταξύ των αντικειμένων. Εξετάζοντας όμως αγόρια και κορίτσια ξεχωριστά, αλλάζει το πράγμα.
Εξετάζοντας τα γραφήματα πυκνότητας πιθανότητας στα αγόρια και τα κορίτσια βλέπουμε ότι αυτά δεν αλληλοεπικαλύπτονται. Φαίνεται τα κορίτσια να είναι πιο άνετα με την Κατανόηση Κειμένου, απ’ ότι με τα Μαθηματικά ή τις Φυσικές Επιστήμες. Στα αγόρια από την άλλη η Κατανόηση Κειμένου είναι η αχίλλειος πτέρνα τους, συγκριτικά τουλάχιστον με τα Μαθηματικά και τις Φυσικές Επιστήμες.

Τα θηκογράμματα επίσης υποστηρίζουν το γεγονός αυτό. Μάλιστα εδώ επιβεβαιώνεται λίγο πιο εύγλωττα αυτό που ίσως να είχε προσέξει ο παρατηρητικός αναγνώστης, ότι δηλαδή όσο καλύτερα πάνε τα κορίτσια στην Κατανόηση Κειμένου (σε σχέση με τα άλλα αντικείμενα), τόσο χειρότερα πάνε τα αγόρια.

Ίσως γι’ αυτό προηγουμένως να μην διαπιστώθηκαν διαφορές μεταξύ των αντικειμένων. Ίσως διότι το αδύναμο σημείο του ενός ήταν το δυνατό σημείο του άλλου, οπότε αποσβένονταν οι ανισότητες.
Οι έλεγχοι Kruskal-Wallis βγάζουν τόσο στ’ αγόρια, όσο και στα κορίτσια μικροσκοπικές p-τιμές. Αυτό σημαίνει ότι όντως υφίστανται διαφορές επιδόσεων στα διάφορα αντικείμενα, αν αυτές εξεταστούν ξεχωριστά σε κάθε φύλο. Οτιδήποτε διαφορετικό θα είχε μικροσκοπική πιθανότητα.
##
## Kruskal-Wallis rank sum test
##
## data: Value by TYPE_exam
## Kruskal-Wallis chi-squared = 77.522, df = 2, p-value < 2.2e-16
##
## Kruskal-Wallis rank sum test
##
## data: Value by TYPE_exam
## Kruskal-Wallis chi-squared = 45.707, df = 2, p-value = 1.188e-10
Σε προηγούμενη ενότητα διαπιστώσαμε ότι οι επιδόσεις μεταξύ των αντικειμένων δεν έχουν διαφορά αν συνυπολογίσουμε αγόρια και κορίτσια. Σχετίζονται όμως μεταξύ τους; Ναι, τ’ αποτελέσματα συνολικά δεν διαφέρουν, όμως μπορεί οι μισοί π.χ. να είναι καλοί στα Μαθηματικά και κακοί στις Φυσικές Επιστήμες, ενώ οι άλλοι μισοί το ανάποδο. Οπότε το ταλέντο του ενός να συμπληρώνει την αταλαντοσύνη του άλλου και τελικά λόγω αυτού να έχουμε την παρατηρούμενη ομοιομορφία στις βαθμολογίες.
Αντιπαραβάλλοντας τις επιδόσεις των Μαθηματικών με αυτές στις Φυσικές Επιστήμες βλέπουμε πάλι μια έντονη γραμμική συσχέτιση. Μάλιστα βλέπουμε ότι όσο καλύτερος είναι κανείς στα Μαθηματικά, τόσο καλύτερη επίδοση έχει και στις Φυσικές Επιστήμες.

Φυσικά, δεν μιλάμε για σχέση αιτίου-αιτιατού, απλά για συσχέτιση. Πολύ πιθανόν να συνεξαρτώνται από κάποιους κοινούς παράγοντες, δηλαδή αυτοί να επιφέρουν βελτίωση/χειροτέρευση συγχρόνως στις επιδώσεις και στα τρία αντικείμενα. Δεν μπορούμε όμως να αποκλείσουμε την σχέση αιτιότητας. Δεν θα ήταν παράλογο π.χ. κάποιος που αδυνατεί να βγάλει άκρη από ένα κείμενο στη Γλώσσα, να έχει και πρόβλημα να καταλάβει το κείμενο ενός προβλήματος στα Μαθηματικά. Το ζήτημα, πάντως, είναι ότι ο έλεγχος που έχουμε κάνει δεν επαρκεί για να εκφράσουμε άποψη υπέρ της μίας ή της άλλης εκδοχής.
Τα ίδια παρατηρούμε και από τη συσχέτιση Μαθηματικών και Κατανόησης Κειμένου. Όσο καλύτερος είναι κανείς στο ένα, τόσο καλύτερος θα είναι και στο άλλο.

Δεν αποτελεί πλέον έκπληξη ότι παρόμοια συμπεριφορά έχει και η συσχέτιση επιδόσεων στις Φυσικές Επιστήμες και στην Κατανόηση Κειμένου.

Υπέρ των παραπάνω συνηγορούν και ο συντελεστής γραμμικής συσχέτισης Pearson και ο συντελεστής μονοτονικής συσχέτισης Kendall, οι οποίοι εν γένει δίνουν πολύ ισχυρή γραμμική και μονοτονική συσχέτιση. Αμφότεροι παρατίθενται παρακάτω στους πίνακες συσχέτισης. Υπενθυμίζουμε ότι όσο πιο σκούρο είναι το χρώμα σε ένα κουτάκι, τόσο εντονότερη είναι η συσχέτιση των αντικειμένων που διασταυρώνονται εκεί.


Είδαμε ότι οι επιδόσεις διαφέρουν μεταξύ των αντικειμένων εξέτασης, αν εξετάσουμε τα αγόρια ξεχωριστά από τα κορίτσια. Εκ πρώτης όψεως αυτό φαίνεται να σημαίνει πως η καλή επίδοση στο ένα συνεπάγεται κακή επίδοση στο άλλο. Είναι όμως έτσι; Ή απλά, ναι μεν π.χ. τα αγόρια υστερούν στην Κατανόηση Κειμένου σε σχέση με τα Μαθηματικά και τις Φυσικές Επιστήμες, αλλά όμως ένας καλός εξεταζόμενος στο τάδε θα είναι καλός και στο δείνα, για τα μέτρα του φύλου του;
Αντιπαραβάλλοντας τις επιδώσεις του ενός αντικειμένου με του άλλου, βλέπουμε πως ισχύει το δεύτερο σενάριο: Αν κάποιος έχει καλύτερη επίδοση στο ένα αντικείμενο, τότε θα έχει και στα άλλα. Ένα αγόρι μπορεί να πηγαίνει καλύτερα στα Μαθηματικά απ’ ό,τι στην Κατανόηση Κειμένου, αλλά πάντως όσο πιο καλό είναι στο ένα τόσο πιο καλό θα είναι και στο άλλο.



Η στενή γραμμική συσχέτιση και η έντονη αυξητική τάση του μεν όσο αυξάνονται τα δε επιβεβαιώνονται από τους συντελεστές Pearson και Kendall.


Τα κορίτσια δεν παρουσιάζουν καμιά έκπληξη ως προς αυτά που έχουμε διαπιστώσει ως τώρα.



Και πάλι έχουν οι επιδόσεις στα διάφορα αντικείμενα έντονη γραμμική συσχέτιση και αυξάνονται/μειώνονται συγχρόνως, γεγονότα που επιβεβαιώνονται κι εδώ από τους συντελεστές Pearson και Kendall.


Είδαμε σε προηγούμενη ενότητα ότι η χώρα μας δεν τα πηγαίνει πολύ καλά στον διαγωνισμό PISA. Μήπως αυτό σημαίνει ότι είναι ένας δύσκολος διαγωνισμός, πράγμα λίγο παρήγορο για εμάς; Για να μπορέσουμε να απαντήσουμε αυτό το ερώτημα θα πρέπει να διερευνήσουμε τι από τα παρακάτω συμβαίνει:
Οι τιμές των βαθμολογιών είναι συσσωρευμένες γύρω από μεγάλα νούμερα. Επομένως εξέταση θεωρείται βατή από τους περισσότερους.
Οι τιμές των βαθμολογιών είναι συσσωρευμένες γύρω από μικρά νούμερα. Επομένως εξέταση θεωρείται απαιτητική από τους περισσότερους.
Μιλώντας για τα Μαθηματικά φαίνεται να θεωρούνται εύκολα, καθόσον οι περισσότερες βαθμολογίες είναι μεγάλες. Το μεν ιστόγραμμα είναι μαζεμένο στα δεξιά, πράγμα που δηλώνει ότι οι περισσότερες βαθμολογίες βρίσκονται εκεί. Το ίδιο δείχνει να επιβεβαιώνει και το γράφημα ασυμμετρίας, αφού βρίσκεται κάτω από τη διακεκομμένη γραμμή.

Όσον αφορά τα αγόρια δεν φαίνεται να έχουμε κάποια διαφορετική διαπίστωση.

Τα ίδια μπορούμε να πούμε και για τα κορίτσια.

Ούτε οι περιπτώσεις των Φυσικών Επιστημών και της Κατανόησης Κειμένου έχουν να πουν κάτι ξεχωριστό, οπότε τις παραθέτουμε εν συντομία.






Μια αισιόδοξη σκέψη θα ήταν ότι η Χώρα έχει μια τάση βελτίωσης και μπορεί να ξεφεύγουμε από την κακιά μας μοίρα στο διαγωνισμό PISA. Σκέψη που αποδεικνύεται φρούδες ελπίδες κοιτάζοντας τα παρακάτω χρονοδιαγράμματα.

Η αλήθεια είναι πως δεν έχουμε πολλά δεδομένα για να κάνουμε ασφαλείς διαπιστώσεις, αλλά πάντως η αρχική εικόνα είναι αποθαρρυντική. Το να κάνουμε προβλέψεις μέσω μοντέλων ARIMA δεν είναι εφικτό, αφού τα διαγράμματα αυτοσυσχέτισης είναι όλα κάτω από την μπλε γραμμή, άρα η μέχρι τώρα πορεία των βαθμολογιών δεν ξεχωρίζει από τον απλό θόρυβο χωρίς κανένα νόημα.

Ελλείψει της παραπάνω δυνατότητας επιχειρούμε μιαν άλλη προσέγγιση.
Σε κάθε χρονιά χωρίσαμε τις χώρες σε 4 ομάδες, την A, την
B, την C και την D. Στην ομάδα
A ανήκουν οι χώρες με το ανώτερο 25% των βαθμολογιών
(οι καλοί). Στην ομάδα D κατατάξαμε τις χώρες με
το κατώτερο 25% των βαθμολογιών (οι κακοί). Το κεντρικό 50% των
βαθμολογιών μοιράστηκε στη μέση στις ομάδες B (οι
μετριο-καλοί) και C (οι μετριο-κακοί).
Θα εξετάσουμε τώρα πόσο συχνά μία χώρα, που στον ένα διαγωνισμό PISA ήταν στη μία κατηγορία, στον επόμενο διαγωνισμό πήγαινε σε κάποια άλλη κατηγορία ή παρέμενε στην ίδια. Λίγο καταχρηστικά κι αυθαίρετα μπορούμε να θεωρήσουμε πως αυτές οι συχνότητες είναι οι πιθανότητες να πάει μία χώρα από μια κατάσταση σε μία άλλη από τον έναν διαγωνισμό στον επόμενο. Για να απεικονίσουμε αυτές τις πιθανότητες, θα χρειαστούμε τους πίνακες μετάβασης για κάθε αντικείμενο. Θα αρχίσουμε με τα Μαθηματικά, όπως ανέκαθεν.
Έτσι, για να δούμε π.χ. ποια είναι η πιθανότητα μια χώρα της
κατηγορίας B τη μία χρονιά να πέσει στην κατηγορία
C την επόμενη, θα πάμε στη γραμμή B.math και
θα σταματήσουμε στη στήλη C.math. Εκεί θα δούμε πως η
πιθανότητα είναι 28.95%. Το αντίστροφο, δηλαδή το να έχουμε χώρα
κατηγορίας C που να βελτιωθεί σε κατηγορία B,
έχει πιθανότητα 32.35%.

Παρατηρούμε από τον πίνακα ότι είναι πιο πιθανό μια χώρα να
παραμείνει στη θέση που είναι, ειδικά αν βρίσκεται στις ακραίες
κατατάξεις A και D. Αυτό δεν ακούγεται καθόλου
ενθαρρυντικό για εμάς που βρισκόμαστε μόνιμα στην κατάταξη
D. Επίσης βλέπουμε ότι υπάρχει κινητικότητα γύρω από τις
ομάδες B και C, ενώ φαντάζει εντελώς απίθανο
να έχει μια χώρα θεαματική βελτίωση ή πτώση, δηλαδή να πάει από την
κατάταξη D στην κατάταξη A ή το
αντίστροφο.
Τα ίδια μπορούμε να πούμε και για τις μεταβάσεις από τη μία κατάταξη
στην άλλη στις Φυσικές Επιστήμες. Με τη διαφορά ότι είναι ακόμα
δυσκολότερα τα μεγάλα άλματα από και προς τις ακραίες θέσεις
A και D. Πλέον δεν υπάρχει περίπτωση κάποια
χώρα της ομάδας D να είναι την επόμενη χρονιά στην ομάδα
B, ενώ στα Μαθηματικά αυτό είχε μια μικρή έστω πιθανότητα
2.56%.

Παρόμοια πράγματα μπορούμε να πούμε και για την Κατανόηση Κειμένου,
με τη μόνη διαφορά ότι είναι πλέον ρεαλιστική η μεγάλη πτώση από την
κατηγορία A στην κατηγορία C, με πιθανότητα
2.5%.

Θεωρώντας τις παραπάνω πιθανότητες σταθερές από διαγωνισμό σε διαγωνισμό (κάτι μάλλον όχι και τόσο δόκιμο), μπορούμε να δούμε τις πιθανότητες μετάβασης από τη μία κατηγορία στην άλλη στον μεθεπόμενο διαγωνισμό. Πλέον δεν είναι απίθανο να συναντήσουμε μεγάλες αλλαγές, αν και πάλι η πιθανότητα παραμένει μικρή.



Μια πιο εύγλωττη παρουσίαση της συνεξέλιξης των επιδόσεων των χωρών
θα μπορούσε να γίνει μέσα από τα αστρογράμματα. Αρχικά παρουσιάζουμε, ως
συνήθως, τα Μαθηματικά, αφού αν δεν παινέψεις το σπίτι σου, θα πέσει να
σε πλακώσει. Υπενθυμίζουμε ότι όσο μακρύτερα από το κέντρο είναι μια
κορυφή του αστρογράμματος, σε τόσο μεγαλύτερη τιμή αντιστοιχεί. Έτσι,
επί παραδείγματι, η Βραζιλία (BRA) έχει πολύ χαμηλή
βαθμολογία το 2008, ενώ το Βέλγιο (BEL) από τις
υψηλότερες.
Παρατηρούμε ότι η μορφή του αστρογράμματος δεν αλλάζει δραματικά από έτος σε έτος. Αυτό μάς κάνει να πιστεύουμε ότι δεν υπάρχει μεγάλη αλλαγή στα έτη αυτά. Κατά το μάλλον ή ήττον οι καλοί παρέμειναν καλοί και οι κακοί παρέμειναν κακοί.

Τα ίδια μπορούμε να ισχυριστούμε και για τις Φυσικές Επιστήμες. Πάλι δεν εμφανίζονται ποιοτικές αλλαγές στην πάροδο του χρόνου.

Συνεπώς, δεν αποτελεί έκπληξη που δεν παρατηρούμε ουσιαστικές αλλαγές ούτε στην Κατανόηση Κειμένου.


Στο σημείο αυτό θα κλείσει η παρούσα έρευνα. Ο αναγνώστης όμως ίσως να έμεινε ανικανοποίητος από το τι τελικά προσκόμισε από το παρόν άρθρο. Ναι, αναλύσαμε τα αποτελέσματα της PISA, αλλά πόσο αυτά μας ενδιαφέρουν; Είναι δείκτες από κάτι που αξίζει να λάβουμε υπ’ όψιν; Αυτό θα μπορούσε να είναι το θέμα μιας επόμενης έρευνας. Εκεί θα μπορούσαμε να εξετάσουμε κατά πόσον τα αποτελέσματα της PISA δείχνουν κάτι ως προς το εκπαιδευτικό ποιόν μιας χώρας. Αν συμβαίνει αυτό, τότε ίσως και να σχετίζονται με δείκτες της ποιότητας της εκπαίδευσης μιας χώρας, όπως π.χ. η κατάταξη των πανεπιστημίων της, οι έρευνες που εκτελούνται από αυτά, το ποσοστό του ΑΕΠ που επενδύεται στην Παιδεία, το πλήθος δασκάλων/καθηγητών ανά 100 κατοίκους κ.τ.λ.
Θα μπορούσαμε να εξετάσουμε και την εξάρτηση των αποτελεσμάτων της PISA από άλλους εξω-εκπαιδευτικούς παράγοντες. Σε αυτό θα ήταν καλός οδηγός κάποιες πληροφορίες για την κατανομή των αποτελεσμάτων μας. Προς τούτο ίσως να μας κάνει μιαν αρχή το γράφημα Cullen και Frey, που θα μας κατατάξει τα αποτελέσματα κοντά στη μία ή την άλλη κατανομή με βάση τα μορφολογικά χαρακτηριστικά της δικιάς τους κατανομής.

## summary statistics
## ------
## min: 370 max: 564
## median: 494
## mean: 486.3081
## estimated sd: 40.41085
## estimated skewness: -1.216407
## estimated kurtosis: 4.136494

## summary statistics
## ------
## min: 382 max: 563
## median: 497
## mean: 490.4343
## estimated sd: 36.88965
## estimated skewness: -1.098234
## estimated kurtosis: 3.958892

## summary statistics
## ------
## min: 371 max: 556
## median: 493
## mean: 485.7727
## estimated sd: 33.08678
## estimated skewness: -1.143293
## estimated kurtosis: 4.32695
Δυστυχώς δεν φαίνεται κάποια μορφολογική ομοιότητα των κατανομών των βαθμολογιών με κάποια από τις γνωστές μας. Ίσως τα πράγματα να ήταν διαφορετικά αν είχαμε τη βαθμολογία του κάθε εξεταζομένου μαθητή κι όχι το αθροιστικό αποτέλεσμα όλης της χώρας. Όμως αυτό δεν μας ήταν διαθέσιμο. Τα συμπεράσματα της παρούσας έρευνας θα ήταν γενικότερα πιο αξιόπιστα, αν βασίζονταν στις βαθμολογίες όλων των υποψηφίων. Πορευτήκαμε όμως με ό,τι ήταν διαθέσιμο, κι αυτό ήταν η σούμα των αποτελεσμάτων τους. Μια πληρέστερη έρευνα αφήνεται στον αναγνώστη με πρόσβαση σε περισσότερα δεδομένα από τον γράφοντα.